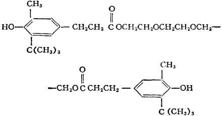
【结构式】:

【释文】:
性质 白色或淡黄色结晶粉末。分子量586.8。熔点76~79℃。溶解度(20℃)如下:

用途 本品为非污染性受阻酚类抗氧剂,与聚合物有良好的相容性,抗热氧稳定效能高,适用于高耐冲击聚苯乙烯、ABS树脂、AS树脂、MBS树脂、聚氯乙烯、聚缩醛、聚酰胺、聚氨酯、羧基化丁苯橡胶及丁苯胶乳等多种塑料及橡胶。一般用量为0.001~2%,最好为0.03~1%。本品与硫醚类抗氧剂(如硫代二丙酸二月桂酯)或含磷抗氧剂并用,有显着的协同效应,例如含有本品(0.25%)的ABS树脂氧化速度(180℃,氧气中)达到最大的时间为31分钟,而含有本品(0.25%)与硫代二丙酸二月桂酯(0.5%)的ABS树脂则为51分钟。本品还可与各种类型的光稳定剂(如苯并三唑类、二苯甲酮类、苯甲酸酯类、镍盐络合物以及受阻胺类)并用,赋予制品优良的耐候性。此外本品对聚合反应无影响,用于高耐冲击聚苯乙烯和聚氯乙烯时,可在聚合前加入到单体中。
毒性 本品对大白鼠的LD50>7000毫克/公斤体重,家兔试验结果表明,本品对眼睛和皮肤无刺激性。
国外商品名
