网站首页  词典首页


请输入您要查询的字词:

 

字词 三相异步电动机常用公式与主要技术指标
类别 中英文字词句释义及详细解析
释义

三相异步电动机常用公式与主要技术指标


1.额定电压Un

电动机满载运行状态下,电源接到定子绕组上的线电压,其单位为V。

2.额定电流In

电动机在额定电压下输出额定功率时,其定子绕组的线电流,其单位为A。

3.额定功率Pn

在额定电压、额定电流时,电动机在允许满载输出的功率,其单位为W、kW。

4.效率η

电动机的效率为输出功率P2与输入功率P1之比,用%表示。

5.功率因数cosφ

功率因数是有功功率与视在功率的比值。对于电动机来说,减少定子与转子之间的气隙数值,增加线圈匝数有利于提高cosφ。

电流、电压、功率、功率因数、效率之间的关系式为:

式中1000是换算系数,将千瓦(kW)换算成瓦(W)。

6.三相异步电动机的同步转速n1

同步转速即定子旋转磁场的转速(是看不见的)。

式中:f——交流电的频率,单位Hz,我国规定为50Hz;

p——磁极对数,如2极电机,p=1,4级,p=2。

7.转差率S

异步电动机的额定转速n与定子旋转磁场的同步转速n1的转速差(n1-n)与定子旋转磁场的转速n1的比值为转差率。用百分数表示。

式中:n1——电动机的同步转速(r/min);

n——电动机的额定转速(r/min)。

电机的转速n总是略小于旋转磁场的转速n1

当电动机静止不动时(n=0),S为1;当电动机转速与同步转速相同时(n1=n),S为0。异步电动机的转差率在0与1之间变化。一般常用的异步电动机在额定负载时其S均为2%~5%。如果转差率过大,电动机的运行将不稳定。

异步电动机的转差率S、转子同步转速n1与电动机额定转速n的关系式为:

n=(1-S)n1 (2-6)

换算关系应用举例如下:

【例1】 一台三相50Hz四极异步电动机,转速为1430r/miin,求转差率。

解:按式(2-4)求出同步转速为:

根据公式(2-5)求出转差率为:

【例2】 一台三相六极异步电动机,电源频率为50Hz,其转差率为3.0%,求电动机的额定转速。

解:按公式(2-4)求出同步转速n1为:

按公式(2-6)求出转子额定转速n为:

n=(1-S)n1=(1-0.03)×1000=970(r/min)

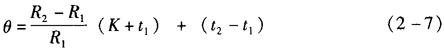
8.温升θ

电动机绕组的工作温度与环境温度的差值,习惯用℃表示(新标准温度单位用K表示)。

式中:R2——电动机在额定负载下测定的电阻值(Ω);

R1——电动机在静止冷态下测定的电阻值(Ω);

t2——额定负载时的环境温度(℃);

t1——测定R1时的环境温度(℃);

K——系数,铜绕组为235,铝绕组228。

9.绝缘电阻

绝缘电阻是反映电动机以及其他电气设备性能好坏的重要依据。

新电机或停用3个月以上的电动机使用前应检查绕组间及绕组对地(外壳)的绝缘电阻。对绕线式转子电动机,还应检查转子绕组及滑环对地(外壳)及滑环之间的绝缘。通常绝缘电阻每1kV工作电压不得小于1MΩ。

通常500V以下电动机用500V兆欧表(也叫摇表)测量,500~3000V电动机用1000V兆欧表测量,3000V以上的电动机用2500V兆欧表测量。一般三相380V电动机的绝缘电阻应大于0.5MΩ方可使用。

表2-7为常见的国产兆欧表数据。

表2-7 常见的国产兆欧表型号及数据

随便看

 

离鸟网收录3541549条中英文词条,其功能与新华字典、现代汉语词典、牛津高阶英汉词典等各类中英文词典类似,基本涵盖了全部常用中英文字词句的读音、释义及用法,是语言学习和写作的有利工具。

 

Copyright © 2004-2024 vtrois.com All Rights Reserved
更新时间:2026/4/8 15:07:40