网站首页  词典首页


请输入您要查询的字词:

 

字词 三种媒质中的垂直入射
类别 中英文字词句释义及详细解析
释义

三种媒质中的垂直入射


现在我们来讨论平面波由第一媒质通过第二媒质并到达第三媒质的情况。假定声波沿x方向传播,媒质Ⅰ与Ⅱ的分界面为OO′,位于x=O,媒质Ⅱ与Ⅲ的分界面为PP′位于x=l。如图11.2-7所示。假定各媒质的特性阻抗分别为ρ1c1,ρ2c2及ρ3c3

图11.2-7 平面声波通过三种媒质两个界面的传播

媒质Ⅰ的入射波表为

(Pi)1=Pi1ej(ωt-k1x) (11.2-37)

当它到达媒质Ⅰ与Ⅱ的分界面时,一部分能量反射回去,还有一部分透射至媒质Ⅱ。通过媒质Ⅱ以后,有部分能量自x=l处向x=0方向反射,同时又有一部分反射回去。这一反射部分与最初的透射到媒质Ⅱ的波是一致的,而折射部分与最初在界面OO′上的反射部分也是一致的。因此这一过程是重复的。在媒质Ⅱ中,经一定次数的来回反射以后,就达到最稳定状态,这时反射回媒质Ⅰ的能量加上透射到媒质Ⅲ的能量,应等于最初的入射能量。在这种稳定的条件反射回媒质的声波表示为:

(Pr)1=Pr1ej(ωt+k1x) (11.2-38)

媒质Ⅱ中的透射及反射波分别为:

(Pt)2=Pt2j(ωt-k2x) (11.2-39)

及 (Pr)2=Pr2ej(ωt+k2x) (11.2-40)

而透射至媒质Ⅲ中的净波为:

(Pt)3=Pt3ej〔ωt-k3(x-l)〕 (11.2-41)

必须注意,以上在媒质Ⅰ及Ⅱ中的位相和振幅,与最初在第一界面上的反射与透射的声波都不相同。

在x=0处,声压连续的边界条件为

Pi1+Pr1=Pt2+Pr2 (11.2-42)

质点速度连续的边界条件为

ρ2c2(Pi1-Pr1)=ρ1c1(Pt2-Pr2) (11.2-43)

仿此,在x=l处,声压连续的边界条件为:

Pt2e-jk2l+Pr2ejk2l=Pt3 (11.2-44)

质点速度连续的边界条件为

ρ3c3(Pt2e-jk2l-Pr2ejk2l)=ρ2c2Pt3 (11.2-45)

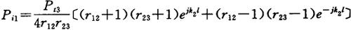
为了决定媒质Ⅲ中透射波的复数振幅Pt3,必须从以上四个方程中消去Pr1,Pt2及Pr2。为此联立(11.2-42)及(11.2-43)式,消去Pr1后得:

式中r122c2/ρ1c1

同样地联立(11.2-44)及(11.2-45)式得

式中r233c3/ρ2c2

将上两式代入(11.2-46)式就得出

它可以化为

式中r13=r12·r233c3/ρ1c1

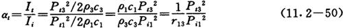
复数比Pi1/Pt3的数值为入射波对透射波的声压振幅比值的量度,而它的相位角是表示在x=O处的入射波超前x=ι处透射波的相角值。从媒质Ⅰ通过媒质Ⅱ而到达媒质Ⅲ的声透射系数αt为:

因复数值的平方等于其实数部分和虚数部分的平方和,故(11.2-50)式可表为:

故声透射系数就变为:

它有三种重要的特殊形式,即

①k2l《1,即中间媒质层很薄时,有cosk2l≈1,sink2l≈0,于是(11.2-51)式就变为:

这与(11.2-20)式相当,它给出了声波直接从媒质Ⅰ到媒质Ⅲ的声透射系数。因此一很薄的夹层媒质,它对声波从媒质到另一介质传播的影响可以忽略不计。

②k2l≈nπ

n为任意整数,有cosk2l≈1,sink2l≈0,得到与薄层的αt同样的结果,不过要注意,这种厚夹层对声传播的无关性,只有当声波频率为f=nc2/2l时,才是有效的。这是与薄夹层介质不同之点。后者只需,就对所有的频率都有效。

③k2l≈(2n-1)π/2

n为任意整数,故有cosk2l≈0,sink2l≈1。因此(11.2-51)式变为

当r12=r23,即当时, (11.2-52)

αt=1

这表示虽然是特性阻抗不同的媒质,声功率也可有百分这百的透射,只要夹层的特性阻抗为左右两者的几何平均值。

注意,这一效应是有选择性的,因为这只有当频率满足:

也就是当夹层的厚度等于

时才有效。

用四分之一波长厚的夹层可以得到100%的透射声功率。

复数Pi1/Pt3所决定的入射波与透射波的相差角由下式给出:

表明相位差只是由于kl,即声波通过媒质Ⅱ时,需要一些时间而引起。不过,在稳定的情况下,在界面x=0处,入射波与透射波之间也往往会有相位的变化。

【参考文献】:

[1]IEC—327,Precision method for pressure calibration or one—inch standard condenser microphones by the reciprocity technique. 1971.

[2]1EC—486,Precision method for free—field calibration of one inch standard condenser microphones by reciprocity technique, 1974.

[3]IEC—150.Testing and calibration of ultrasonic therapeutic equipment, 1963.

[4]GB 3223-82,水声换能器的自由场互易校准

[5]GB 3785-83,声级计的电,声性能及测量方法

[6]GB 7341-87,听力计

[7]GB 7614-87,校准测听耳机用宽频带型仿真耳

[8]GB 7342-87,测听耳机校准用IEC临时参考耦合腔

[9]OIML R102,声校准器

[10]JJG 188-90,声级计

[11]JJG 698-90,积分声级计

[12]标准电容传声器有关国家标准及检定规程

[13]JJG 388-85,听力计

随便看

 

离鸟网收录3541549条中英文词条,其功能与新华字典、现代汉语词典、牛津高阶英汉词典等各类中英文词典类似,基本涵盖了全部常用中英文字词句的读音、释义及用法,是语言学习和写作的有利工具。

 

Copyright © 2004-2024 vtrois.com All Rights Reserved
更新时间:2026/5/25 15:21:06