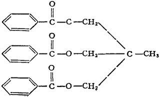
【结构式】:

【释文】:
性质 结晶固体。分子量432。色泽(APHA)<200(熔融体)。酸度(以苯甲酸计)<0.2%。酯含量>98%。相对密度1.242(30℃)。熔点81℃。闪点(开杯法)277℃。折光率1.554(50℃)。不溶于水,可溶于酮、酯、芳香烃和氯代烃等溶剂(溶解度为30%或更高),难溶于脂肪烃溶剂。与聚氯乙烯和硝酸纤维素的相容量可达50%,与聚甲基丙烯酸甲酯、聚醋酸乙烯酯、聚苯乙烯、乙基纤维素和醋酸丁酸纤维素的相容量为25%左右。
用途 本品为固体增塑剂。兼具增塑剂和加工助剂的效能,可赋予配合料较低的高温粘度,改善粘合性。增塑效率与邻苯二甲酸二环己酯类似。挥发性小,177℃下仅为DOP的十五分之一。本品在薄膜中用量大时有渗析和结晶的缺点。
毒性 本品可视为无毒,大白鼠经口LD50为24克/公斤体重。
国外商品名
