网站首页  词典首页


请输入您要查询的字词:

 

字词 不等精度测量
类别 中英文字词句释义及详细解析
释义

不等精度测量


不同条件下所作的测量,其结果的质量一般不同,测量结果质量的数字表征可以用权。

定义权与测量的方差成反比,即权

权相等的测量称为等精度测量。

权不相等的测量称为不等精度测量。

权为1的测量为单位权测量,若单位权测量的标准差为μ,则标准为σi的测量的权

(2.4-17)

对某量作多次等精度独立测量,若一次测量为单位权测量(其标准差σ=μ),则平均值的权

p=σ2/(σ2/n)=n

即平均值的权为n,此数表明该值是由多少个等精度测量所组成。

于是,可以把一个权p的结果,视为p个等精度单位权测量的平均值。

若独立对某量作测量多次,其各次值及相应权为

x1, p1

x2, p2

……

xn, pn

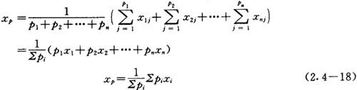
视xi为单位权测量值xij的pi个之平均值,则该量最佳值

即最佳值为加权平均值

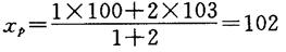
〔例2.4-12〕 对某量独立测两次,两次值及相应权为

x1=100,p1=1

x2=103,p2=2

则最佳值为

可以计算残差

vi=xi-xp

而单位权标准差

加权平均值标准差

【参考文献】:

[1]王立吉,计量学基础,中国计量出版社,1988。

[2]BIPM、IEC、IFCC,IUPAC,IUPAP,OIML,Guide to the Expression of Uncertainty in Measurement, ISO,1993.

[3]刘智敏,不确定度原理,中国计量出版社,1993。

[4]刘智敏,误差分布论,原子能出版社,1988。

[5]刘智敏,误差与数据处理,原子能出版社,1983。

[6]Liu Zhimin(刘智敏),Measurement Uncertainty and Its Correlation Combination,Proceeding of ISEM, 1993.

[7]国家计量总局量值传递处编,计量技术考核纲要,计量出版社,1981。

[8]国家技术监督局审定,刘智敏等编审,全国计量检定人员考核统一试题集第六分册三,误差及数据处理,陕西科学技术出版社,1990。

随便看

 

离鸟网收录3541549条中英文词条,其功能与新华字典、现代汉语词典、牛津高阶英汉词典等各类中英文词典类似,基本涵盖了全部常用中英文字词句的读音、释义及用法,是语言学习和写作的有利工具。

 

Copyright © 2004-2024 vtrois.com All Rights Reserved
更新时间:2026/4/8 14:54:16