网站首页  词典首页


请输入您要查询的字词:

 

字词 丙烯基乙基愈疮木酚
类别 中英文字词句释义及详细解析
释义

丙烯基乙基愈疮木酚


别名 浓馥香兰素

编码 GB I1116;FEMA 2922

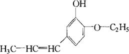
化学结构

C11H14O2 相对分子质量 178.23

性状 白色粉末晶体,熔点85~86℃,在真空下加热升华。其溶解度为:乙醇10%;丙二醇4%;苯甲醇20%。微溶于水,溶于多数精油。

制法 由1-乙氧基-2-甲氧基-4-丙烯基苯在乙醇或甲醇溶液中,于150~190℃在加压情况下,通过碱性水解作用制取,或者在乙二醇溶液中,于150~190℃,在常压下制备。

质量标准

鉴别方法 香气鉴定。

毒理学依据

GRAS FEMA 2922。

使用

使用范围及使用量

(1)我国《食品添加剂使用卫生标准》(GB 2760-1996)规定:可按生产需要适量用于配制各种食品香精。

(2)FEMA规定:最高参考用量为软饮料,5.9mg/kg;冰淇淋、冰制食品,6.3mg/kg;糖果,20mg/kg;焙烤食品,20mg/kg;胶冻及布丁,2.5mg/kg。

(3)实际使用参考:本品的香味浓度比香兰素约高15~16倍。可与香兰素、乙基香兰素同用于香荚兰香精中,使用的比例一般控制在香兰素和乙基香兰素重量的4%~5%为宜。可增强香荚兰的特征香味。也可以用于其它香型的香精,如巧克力、枫槭、坚果、朗姆、焦糖等香精。它在极低浓度时可以作为一个增添甜香的香料。

随便看

 

离鸟网收录3541549条中英文词条,其功能与新华字典、现代汉语词典、牛津高阶英汉词典等各类中英文词典类似,基本涵盖了全部常用中英文字词句的读音、释义及用法,是语言学习和写作的有利工具。

 

Copyright © 2004-2024 vtrois.com All Rights Reserved
更新时间:2026/4/8 4:38:49