二维均匀分布
1.密度函数

其中A为平面闭域D的面积.
2.性质
(1)若
,A1为D1的面积,则

称二维均匀分布满足几何概率.
(2)在正矩形(矩形边与坐标轴平行)上,二维均匀分布的边缘分布是均匀分布,并且X与Y相互独立.
二维正态分布
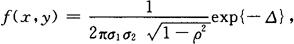
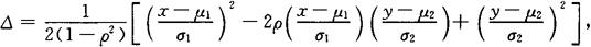
1.定义
,

其中

则称(X,Y)服从二维正态分布.
,ρ为参数,且|ρ|<1.
2.性质
(1)二维正态分布的边缘分布为正态分布,且都与ρ无关.
,
;
(2)二维正态分布中,X,Y相互独立的充分必要条件是ρ=0;
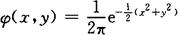
(3)若X,Y独立,μ1=μ2=0,
,此时密度函数为

并称为标准正态分布,记为(X,Y)~N(0,0,1,1,0).