网站首页  词典首页


请输入您要查询的字词:

 

字词 两正态总体方差比的假设检验
类别 中英文字词句释义及详细解析
释义

两正态总体方差比的假设检验


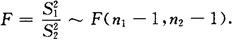
1.μ1,μ2均已知

(2)统计量

(3)给出α,H0的拒绝域为:

②F>Fα(n1,n2);

③0<F<F1-α(n1,n2).

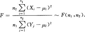
2.μ1,μ2均未知

(1)

H1:①

(2)统计量

(3)给出α,H0的拒绝域为

随便看

 

离鸟网收录3541549条中英文词条,其功能与新华字典、现代汉语词典、牛津高阶英汉词典等各类中英文词典类似,基本涵盖了全部常用中英文字词句的读音、释义及用法,是语言学习和写作的有利工具。

 

Copyright © 2004-2024 vtrois.com All Rights Reserved
更新时间:2026/4/8 22:36:33