| 释义 |
两正态总体期望差μ1-μ2的假设检验
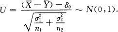
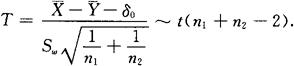
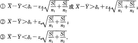
1. , 均已知 (1)H0:μ1-μ2=δ0. H1:①μ1-μ2≠δ0; ②μ1-μ2>δ0; ③μ1u2<δ0. (2)统计量  (3)给出α,H0的拒绝域  对( )来说,H0的拒绝域为  2. , 均为未知,但 (1)H0:μ1-μ2=δ0. H1:①μ1-μ2≠δ0; ②μ1-μ2>δ0; ③μ1-μ2<δ0. (2)统计量  其中Sω如前面给出的. (3)给出α,H0的拒绝域为  对( )来说,H0的拒绝域为   3. , 均未知,但n1,n2都很大 (1)H0:μ1-μ2=δ0, H1:①μ1-μ2≠δ0; ②μ1-μ2>δ0; ③μ1-μ2<δ0; (2)统计量  (3)给出α,H0的拒绝域为  对 , 来说,H0的拒绝域为  |