网站首页  词典首页


请输入您要查询的字词:

 

字词 中位数()控制图
类别 中英文字词句释义及详细解析
释义

中位数()控制图


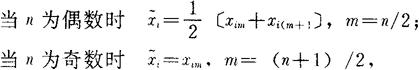
也称-图。作用同-图,用于监控生产过程均值的变化情况。其作法是抽取k个样本的数据(k≥25),每个样本的容量为5,将各样本数据按大小顺序排列,然后找出(或算出)第i个样本的中位数与极差Ri(样本容量为n)。

式中i=1,2,…,k。然后计算中位数均值:

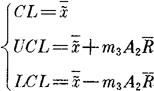
-图各条线的计算公式是:

式中m3A2可查表12-5得到,的计算见-图的公式。

随便看

 

离鸟网收录3541549条中英文词条,其功能与新华字典、现代汉语词典、牛津高阶英汉词典等各类中英文词典类似,基本涵盖了全部常用中英文字词句的读音、释义及用法,是语言学习和写作的有利工具。

 

Copyright © 2004-2024 vtrois.com All Rights Reserved
更新时间:2026/4/7 0:57:48