网站首页  词典首页


请输入您要查询的字词:

 

字词 乙基邻苯二甲酰基乙醇酸乙酯或邻苯二甲酸乙(乙醇酸乙酯)酯
类别 中英文字词句释义及详细解析
释义

乙基邻苯二甲酰基乙醇酸乙酯或邻苯二甲酸乙(乙醇酸乙酯)酯


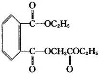
【结构式】:

【释文】:

性质 无色液体。微具气味。分子量280。色泽(APHA)<25。酸度(以醋酸计)<0.02%。相对密度1.184(20℃)。粘度63mPa·s。凝固点+20℃。沸点310℃(0.1MPa)、190℃(666Pa)。闪点(开杯法)193~196℃。折光率1.490(25℃)。挥发速度(100℃)0.0001106g/(cm2.h)。在水中的溶解度(30℃)0.0175%(重量)。溶于大多数普通的有机溶剂,不溶于石油烃,可溶于热植物油,但冷却时有部分析出。本品对醋酸丁酸纤维素、乙基纤维素、苄基纤维素、醇酸树脂、聚氯乙烯、聚苯乙烯、聚醋酸乙烯酯及一些合成橡胶等都有很好的相容性。

用途 本品挥发性小,溶剂化作用强,特别适宜作醋酸纤维素和硝酸纤维素的溶剂型增塑剂,具有良好的耐光性、耐湿性,用于纤维素漆时,可赋予漆膜优良的柔韧性和弹性。由于有很好的相容性可作为这些树脂的增塑剂或溶剂作用。

毒性 本品毒性小,毒性系数T=500,将本品以0.25g/kg体重的剂量掺混到饲料中,连续喂饲狗1年,动物的生长发育正常,生物学检查未见任何异常。

日本、意大利、荷兰许可本品用于制做接触食品的制品,美国食品药物管理局允许本品用于与食品包装材料有关的粘合剂和涂料(参见FDA121.2001,121.2514)。

国外生产厂

随便看

 

离鸟网收录3541549条中英文词条,其功能与新华字典、现代汉语词典、牛津高阶英汉词典等各类中英文词典类似,基本涵盖了全部常用中英文字词句的读音、释义及用法,是语言学习和写作的有利工具。

 

Copyright © 2004-2024 vtrois.com All Rights Reserved
更新时间:2026/4/8 0:46:30