网站首页  词典首页


请输入您要查询的字词:

 

字词 乙酰化二淀粉磷酸酯
类别 中英文字词句释义及详细解析
释义

乙酰化二淀粉磷酸酯


编码 GB 20.015;INS 1414

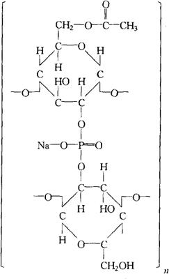
化学结构

性状 白色粉末,无臭,无味,易溶于水,不溶于有机溶剂。与原淀粉相比,其溶解度、膨润力及透明度明显提高,老化倾向明显降低,冷冻稳定性提高。可抗热、抗酸。

制法 玉米淀粉经多偏磷酸钠交联或三氯氧磷交联后,再经醋酐酯化制得。

质量标准 参见羟丙基淀粉。

鉴别方法 本品呈一般食用变性淀粉反应、乙酰基特殊反应和磷酸盐反应。

1.一般食用变性淀粉反应 同羟丙基淀粉鉴别方法1、2、3。

2.乙酰基的特殊反应 取本品约10g,悬浮于25mL水中,加0.4mol/LNaOH溶液20mL,振摇1h,滤出淀粉。在110℃烘箱中蒸发滤液。将残渣溶于几滴水中,移入试管中,加氢氧化钙。若本品为乙酰化淀粉,则加热试管时应释出丙酮蒸汽;当其与特殊试纸(经硝基苯甲醛在2mol/LNaOH新鲜饱和溶液浸渍过的滤纸)接触时,应产生蓝色;当用10%盐酸溶液1滴除去试剂原有的黄色后,上述蓝色更为明显。

3.磷酸盐反应 见焦磷酸钠鉴别方法。

毒理学依据

1.GRAS FDA-21CFR,172.892。

2.ADI 无需规定(FAO/WHO,1994)。

使用 增稠剂、稳定剂和乳化剂。

使用范围及使用量

(1)我国《食品添加剂使用卫生标准》(GB 2760-1996)规定:用于午餐肉,最大使用量0.5g/kg;用于果酱,1.0g/kg。

(2)FAO/WHO规定:用于蛋黄酱、罐装棕榈油(食用),5g/kg(单独使用或与经酸、碱处理或脱色的淀粉、磷酸单淀粉、磷酸双淀粉、乙酰化甘油、乙酰化己二酸双淀粉结合使用);含奶油或其它脂肪和油罐装蘑菇、芦笋、青豆、胡萝卜,10g/kg(单用或与其它增稠剂合用);罐装沙丁鱼或沙丁鱼类产品,20g/kg(仅用于填充料);代乳粉,25g/kg〔单用或与磷酸化的磷酸双淀粉(1413)结合使用于水解氨基酸为基础的产品〕;罐装鲐鱼和竹荚鱼,60g/kg(仅用于填充料);罐装婴儿食品,60g/kg;发酵后经加热处理的发酵奶及其制品,10g/kg;婴儿代乳品(大豆型产品),5g/kg;肉汤和清肉汤、速冻鱼条和鱼块(仅指用面包粉或面包拖料包裹的),25g/kg(单用或与其它淀粉合用于以氨基酸或水解蛋白质为基础的产品中)。

鉴别方法 参见羟丙基淀粉鉴别方法。

毒理学依据

ADI 无需规定(FAO/WHO,1994)。

GRAS FDA 21CFR 172.892。

使用 增稠剂、稳定剂、粘结剂。

1.使用注意事项 本品与原淀粉相比,所形成的糊的热粘度降低,且聚合度越低,其流动性越大;其热粘度降低越多,则能配制高浓度糊液,凝沉性较强,冷却后形成不透明的强度高的凝胶,胶凝速度快,可作为胶质凝胶软糖的稳定剂。也适用常压蒸煮锅蒸煮,替代糊精作为填充剂。

2.使用范围及使用量 我国《食品添加剂使用卫生标准》(GB 2760-1996)规定:可用于调味料(酱汁粉)、汤料、糖果(包括巧克力及其制品),最大使用量为25g/kg;雪糕、冰棍为5g/kg。

随便看

 

离鸟网收录3541549条中英文词条,其功能与新华字典、现代汉语词典、牛津高阶英汉词典等各类中英文词典类似,基本涵盖了全部常用中英文字词句的读音、释义及用法,是语言学习和写作的有利工具。

 

Copyright © 2004-2024 vtrois.com All Rights Reserved
更新时间:2026/4/7 14:07:07