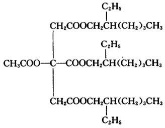
【结构式】:

【释文】:
性质 无色油状液体。分子量571。色泽(APHA)75。酸度(以柠檬酸计)<0.1%。相对密度0.983(25℃)。流动点-19.4℃。沸点225℃(133Pa)。闪点(开杯法)224℃。
用途 本品为聚氯乙烯、氯乙烯共聚物用增塑剂。无毒,耐寒性好,挥发性极小,在相同配方和条件下,本品的挥发损失仅为邻苯二甲酸二辛酯的1/4。本品也可作为天然橡胶和合成橡胶的增塑剂及软化剂。此外,本品还可用作聚偏二氯乙烯的稳定剂。
毒性 无毒,德国允许本品用于制作食品包装材料。
国外生产厂
