网站首页  词典首页


请输入您要查询的字词:

 

字词 乙醇的测定(氧化还原法)
类别 中英文字词句释义及详细解析
释义

乙醇的测定(氧化还原法)


1.方法原理

贮藏中的果蔬不断地进行呼吸,当贮藏环境中氧供给不足或果蔬的正常生理机能受到阻碍时,缺氧分解的产物乙醇含量增加,引起果蔬品质和贮藏性进一步恶化,因此可根据果蔬中乙醇的累积和变化情况,来作为判断贮藏效果的依据。

常用的测定方法是:乙醇被重铬酸钾和硫酸氧化:

3CH3CH2OH+2K2Cr2O7+8H2SO4→3CH3COOH+2Cr2(SO4)3+2K2SO4+11H2O

氧化乙醇后剩余的铬酸钾与碘化钾作用,生成游离的碘。

K2Cr2O7+6KI+7H2SO4→4K2SO4+Cr2(SO4)3+7H2O+3I2

游离的碘再被硫代硫酸钠还原,从而算出氧化乙醇所消耗的重铬酸钾量,再计算出乙醇含量。

2Na2S2O3+I2→2NaI+Na2S4O6

2.仪器与试剂

(1)仪器。100mL容量瓶、500mL烧瓶、冷凝管、移液管、三角瓶、滴定管、酒精灯(或小电炉)、石棉网、研钵等。

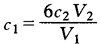
(2)试剂。重铬酸钾、硫代硫酸钠、淀粉溶液、碘化钾、浓硫酸。①0.017K2Cr2O7溶液:精确称取重铬酸钾(K2Cr2O7)标准品4.9g(准至0.0001g),溶解后移入1000mL容量瓶中,稀释至刻度。②0.01mol/LNa2S2O3溶液:称取硫代硫酸钠(Na2S2O3·5H2O)约25g,溶解后移入1000mL容量瓶中,稀释至刻度。③硫代硫酸钠溶液的标定:吸取标准重铬酸钾溶液20mL于500mL的三角瓶中,用量筒加入浓硫酸5mL及碘化钾2g,盖塞,在暗处放置5min,加水约200mL,用待标定的硫代硫酸钠溶液滴定,当溶液由橙色转为黄色时,加入淀粉溶液5mL,继续缓慢地滴定至溶液由蓝色变成浅绿色为止。

式中 c1——Na2S2O3浓度,mol/L

c2——浓度,mol/L

V2——K2Cr2O7标准溶液体积,mL

V1——Na2S2O3溶液体积,mL

3.操作步骤

(1)乙醇的提取。称取样品20g研碎,用150mL水洗入500mL的烧瓶中,连接冷凝器(如图2-43)在瓶底加热蒸馏,收集蒸馏液于100mL容量瓶中,达到刻度为止,盖上瓶盖,混合均匀。

图2-43 乙醇提取蒸馏图

(2)乙醇的氧化。在200mL的三角瓶中放入0.01mol/L()20mL,用量筒取浓硫酸5mL,缓慢滴入蒸馏水10mL,并不断振荡。连接冷凝管放在石棉网上加热回流(如图2-44),使瓶中溶液轻微煮沸10min。

图2-44 乙醇氧化回流图

(3)游离碘的生成。待回流过的溶液冷却后,用水冲洗冷凝管,使全部溶液无损地盛在200mL三角瓶中,然后小心地将溶液移入500mL三角瓶中,用水约200mL冲洗200mL三角瓶,同时加入碘化钾1g,盖塞,暗处放置5min。

(4)滴定。自滴定管中滴入0.05mol/L的硫代硫酸钠溶液,当溶液颜色由橙色变为浅黄色时,加淀粉溶液5mL,继续滴定至溶液由蓝色变为橙色为止,记下消耗硫代硫酸钠溶液的体积。

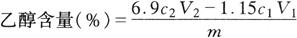
4.结果计算

式中 m——样品克数,g

V1——加入重铬酸钾溶液的毫升数,mL

c1——重铬酸钾溶液的浓度,mol/L

V2——滴定时所消耗的硫代硫酸钠的毫升数,mL

c2——硫代硫酸钠溶液的浓度,mol/L

随便看

 

离鸟网收录3541549条中英文词条,其功能与新华字典、现代汉语词典、牛津高阶英汉词典等各类中英文词典类似,基本涵盖了全部常用中英文字词句的读音、释义及用法,是语言学习和写作的有利工具。

 

Copyright © 2004-2024 vtrois.com All Rights Reserved
更新时间:2026/4/7 20:45:53