网站首页  词典首页


请输入您要查询的字词:

 

字词 二甲基戊亚甲基二硫代氨基甲酸锌
类别 中英文字词句释义及详细解析
释义

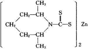
二甲基戊亚甲基二硫代氨基甲酸锌


【结构式】:

【释文】:

性质 淡黄色或乳白色粉末。有特殊气味。分子量442。相对密度1.60,熔点64℃。溶于苯、甲苯、二甲苯、汽油,不溶于水。无吸湿性。

用途 本品为胶乳用超速硫化促进剂,在常温即有很大活性。常温硫化时间2~4日,适用于乳胶手套等浸渍制品。皮膜的透明性好。本品不适用于干胶。

国外生产厂

随便看

 

离鸟网收录3541549条中英文词条,其功能与新华字典、现代汉语词典、牛津高阶英汉词典等各类中英文词典类似,基本涵盖了全部常用中英文字词句的读音、释义及用法,是语言学习和写作的有利工具。

 

Copyright © 2004-2024 vtrois.com All Rights Reserved
更新时间:2026/4/8 10:30:10