网站首页  词典首页


请输入您要查询的字词:

 

字词 二维随机变量的边缘分布
类别 中英文字词句释义及详细解析
释义

二维随机变量的边缘分布


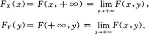
边缘分布函数

关于X有:FX(x)=P{X≤x}=P{X≤x,Y<+∞};

关于Y有:FY(x)=P{Y≤y}=P{X<+∞x,Y≤y}.

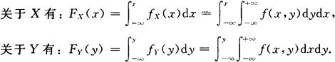
由联合分布函数F(x,y)求边缘分布函数,有

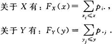
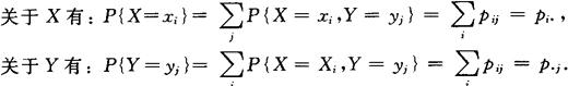
离散型随机变量的边缘分布

1.边缘分布律

2.边缘分布函数

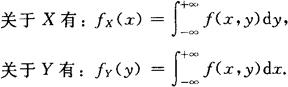
连续型随机变量的边缘分布

设f(x,y)为联合密度函数.

1.边缘密度函数

2.边缘分布函数

随便看

 

离鸟网收录3541549条中英文词条,其功能与新华字典、现代汉语词典、牛津高阶英汉词典等各类中英文词典类似,基本涵盖了全部常用中英文字词句的读音、释义及用法,是语言学习和写作的有利工具。

 

Copyright © 2004-2024 vtrois.com All Rights Reserved
更新时间:2026/4/9 6:21:11