二重积分的换元法 设f(x,y)在Oxy平面上的闭区域D上连续.变换

将Ouv平面上的闭区域D′变为Oxy平面上的D,且满足
(1)x(u,v),y(u,v)在D′具有一阶连续偏导数,
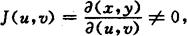
(2)在D′上雅可比(Jacobi)行列式

其中

(3)变换T:D′→D是一对一的,则有

上式称为二重积分的换元公式.
注 雅可比式J(u,v)只在D′上个别点或一条曲线上为零,公式仍成立.
例
,其中D是x≥0,y≥0及
(R1<R2)如图10.6所示的闭区域.

图10.6
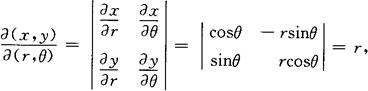
解 做变换T

将D′:r=R1,r=R2,θ=0及
变换为D,而雅可比式为

则
