网站首页  词典首页


请输入您要查询的字词:

 

字词 交流电压、电流、功率及其量值溯源
类别 中英文字词句释义及详细解析
释义

交流电压、电流、功率及其量值溯源


在电磁计量领域中,交流电量计量主要是包括1MHz以下的正弦交流电压、电流、功率、40~60Hz的电能及对应的仪器仪表的计量。

如第6.2.2节的第6、7条所介绍的,正弦交流电量可用一个以时间为变量的正弦函数来表示,如正弦交流电压可表示为

u=Umsin(ωt+φ) (6.5-1)

u表示瞬时值,Um表示最大值,ωt为幅角,ω称为角频率。通常我们所说的交流电压或交流电流的数值,在没有特殊说明的情况下一般均是指其有效值。如第6.2.2节的(6.2-22)和(6.2-23)式所给出的,交流电流和电压的有效值是指数值

这两个公式对所有周期变化的电流和电压的有效值计算均适用。

当对式(6.5-2)取平方,并对所得表达式的两端乘以rT后得:

(6.5-4)

这个等式表明,交流电流的有效值,在数值上等于这样的直流,这一直流通过不变的电阻r在一周期内所放出的热量,与给定的电流i所放出的热量相等。

同样,对(6.5-3)式平方后两边同乘T/r可得

因而,交流电压的有效值,在数值上等于这样的直流电压,当它作用于电阻r时,在一周期内所放出的热量,与在给定的电压u的作用下所放出的热量相等。

交流电流和电压的平均值指一个周期内绝对值的平均,也就是正半周的平均值:

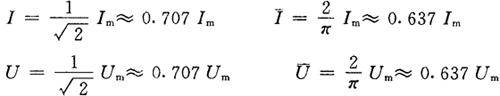
对于正弦电流和电压,其有效值、平均值与其最大值的关系为:

对于交流功率,一般只采用瞬时功率和平均功率两种表示法。瞬时功率表示为

p=ui=Umsin(ωt)Imsin(ωt+φ) (6.5-7)

一周期内的平均功率(有功功率)为:

无论是直流或交流的电流、电压和功率,在SI单位制中所采用的单位都是相同的,即分别是安培、伏特和瓦特。而在电学计量领域中,是以直流量的相关单位的基准为主基准,为了保证同一单位在直流和交流下使用时的一致性,交流量就必须溯源到相关的直流量上。

【参考文献】:

[1]国家技术监督局发布,GB3100~3102-93量和单位国家标准,中国标准出版社,1994年12月。

[2]王江主编,现代计量测试技术(第18章电磁计量技术),中国计量出版社,1990年12月。

[3]程守洙、江之永主编,普通物理学第二册,人民教育出版社,1979年2月。

[4]俞大光编,电工基础,人民教育出版社,1958年9月。

[5]Г.И.阿塔别柯夫,线性电路理论,人民教育出版社,1963年12月。

[6]C.A.狄苏尔、葛守仁,电路基本理论,人民教育出版社,1979年1月。

[7]乔蔚川、刘瑞珉、沈平子,The Absolute Measurement of the Ampere by Means of NMR,IEEE Trans.Instrum.Meas.,vol.IM-29,No.4,Dec.,1980.

[9]张钟华等,NIM用计算电容测定的量子化霍尔电阻的SI值(英文),计量学报,第16卷,第1期,1995年1月。

[10]刘瑞珉、刘恒基、金惕若等,NIM对γ′p及2e/h的SI值的最新测定结果(英文),计量学报,Vol.16,No.3,1995年7月。

[11]B.P.Kibble。I.A.Robinson and J.H.Belliss,A Realization of the SI Watt by the NPL MovingCoil Balance,CCE Documents 88-16,1988.

[12]P.T.Olsen。R.E.Elmquist,E.R.Williams,G.R.Jones and V.E.Bower,A Measurement of the NBS Electrical Watt in SI Units,CCE Documents 88-37,1988.

[13]Report of the 18th Meeting of CCE,1988.

[14]B.P.Kibble,I.A.Robinson and J.H.Belliss,The New NPL Moving Coil Balance-A Progress Report,CCE Documents 92-61,1992.

[15]唐统一、张钟华、张叔涵主编,近代电磁测量,中国计量出版社,1992年8月。

[16]袁楠、沈平子编,电磁量的单位制和单位的复现与传递,机械工业出版社,1986年4月。

[17]阮永顺、迈淑琴、王晓超编着,交流电桥检定与测试技术,中国计量出版社,1991年5月。

[18]唐佐梁、梁德正等,电能计量手册,河南科学技术出版社,1990年12月。

[19]K.J.Lentner.A Current Comparator System to Establish the Unite of Electrical Energy at 60 Hz,IEEE Trans.Instr.Meas.Vol.23,No.4,p.334-336,Dec.,1974.

[20]ю.B.阿法拉谢耶夫等着[苏],张伦译,磁场参数测量器具,科学出版社,1983。

[21]p.Φ.阿克纳叶夫、Л.И.留必莫夫、A.M.巴纳休克-米罗维齐着,李绍贵,王登安译,电磁量计量器具的检定,中国计量出版社,1992年5月。

随便看

 

离鸟网收录3541549条中英文词条,其功能与新华字典、现代汉语词典、牛津高阶英汉词典等各类中英文词典类似,基本涵盖了全部常用中英文字词句的读音、释义及用法,是语言学习和写作的有利工具。

 

Copyright © 2004-2024 vtrois.com All Rights Reserved
更新时间:2026/4/8 18:29:51