网站首页  词典首页


请输入您要查询的字词:

 

字词 以置信度1—a区间估计正态总体的标准差、平均数及取值
类别 中英文字词句释义及详细解析
释义

以置信度1—a区间估计正态总体的标准差、平均数及取值


本章第三—七节的内容主要适用于正态总体(及其族),对于一般的总体(及其族)按照本章内容进行统计计算与分析,应该使用大样本(n>100)。

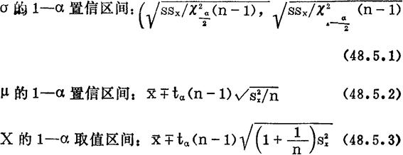
正态总体的标准差与平均数都是客观存在的未知常数,可以用样本的差异平方和,方差与平均数这三个统计量的观测值Ssx,,配合显着性检验的临界值(又称为分位数)uα(f),tα(f),Fα(f1,f2),rα(f),等,对它们进行区间估计,如同(48.3.6)式以及(48.4.5—9)式所表示的那样。估计的误差范围和可靠性分别用区间长度和置信度1—α表示。α称为信度,一般为小概率5%或者1%,是显着性检验的显着度(又称为显着水平)。表48—1中的r-检验,表48—2中的F-检验以及后面表48—4和表48—5中的X2-检验和F-检验,统计量的观测值大于α越小的临界值(分位数),则差异越显着。

(1)正态总体X的记为σ,EX记为μ。

(2)两个(同种生物数量)相互独立的正态总体X1与X2的标准差,平均数,样本容量分别为:j,μj,nj,j=1,2。

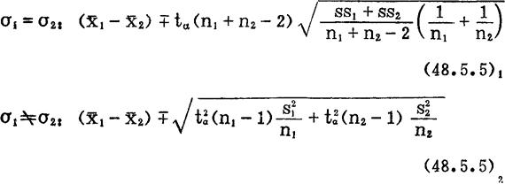
如果上述区间包含1在内,则可以近似地(误差不超过区间)认为=1,即σ1=a2。这一结论的可靠性是1—α。μ1—μ2的1—α置信区间分为两种情形:

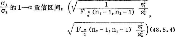
如果区间(48.5.5)1-2包含0在内,则可以近似地(误差不超过区间)认为μ12=0,即μ12,X1与X2差异不显着(随机差异);如果不包含0在内,则μ1μ21与X2差异显着(系统差异),区间表示总体X1与X2取值之间平均的差异程度。以上结论的可靠性是1—α。对于σ1σ2以及μ1μ2的情形,需要按照(48.5.1)式以及(48.5.2)式分别计算σj与μj,j=1,2的1—α置信区间。表48—3给出了(48.5.4)式及其后继内容的计算步骤(表48—3附文后)。

表48—3 正态总体参数的1—a置信区间

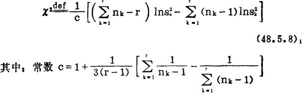
(3)r个(同种生物数量)相互独立的正态总体Xk,k=1—r的方差齐性显着性检验:

r(r≥3)个相互独立的正态总体Xk,k=1—r分别在r种条件下产生。“条件”指生态(自然,实验,生产)条件,生物特性,单因子的水平,多因子的水平搭配等。如果因子是数量,则“水平”是数量因子的取值。

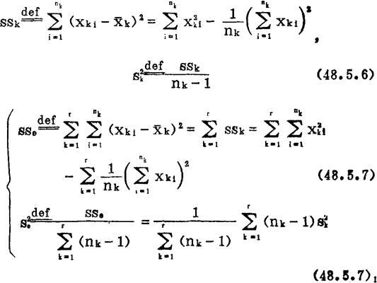
r个相互独立的正态总体Xk的样本容量分别为nk,k=1-r;样本观测值的平均数,差异平方和与方差分别为Xk,sSk,k=1—r,并由它们构成随机平方和ss。与随机方差

Bartlett(巴特莱)统计量表示r个相互独立的正态总体的样本方差,k=1—r之间的差异程度,其观测值定义如下:

如果nk≡n,k=1—r,则上式转化为如下简单形式:

上式括号外的系数是

(48.5.8)1式的计算步骤如表48—4(1)(一)所示;(48.5.8)2式的计算步骤如表48—4(2)(一)和表48—6(一)所示。

如果X2<(r-1),则r个,k=1—r之间的差异不显着(随机差异),从而可以近似地认为≡σ2,k=1—r。这是回归分析和方差分析中F-检验步骤的前提。

(编者:刘长安 审者:孙尽善)

随便看

 

离鸟网收录3541549条中英文词条,其功能与新华字典、现代汉语词典、牛津高阶英汉词典等各类中英文词典类似,基本涵盖了全部常用中英文字词句的读音、释义及用法,是语言学习和写作的有利工具。

 

Copyright © 2004-2024 vtrois.com All Rights Reserved
更新时间:2026/4/9 8:26:26