网站首页  词典首页


请输入您要查询的字词:

 

字词 仪表的误差及分类
类别 中英文字词句释义及详细解析
释义

仪表的误差及分类


根据产生误差的原因,仪表误差分两类:

1.基本误差

仪表在正常工作条件下(指规定的温度和放置方式,没有外电场和外磁场的干扰等),由于仪表的结构、工艺等方面的不完善而产生的误差叫基本误差。基本误差是仪表本身固有的误差。

2.附加误差

仪表因为偏离了规定的工作条件(如温度、频率、波形的变化超出规定的条件,工作位置不当或存在外电场和外磁场的影响时)而产生的误差叫附加误差。附加误差实际上是一种因外界工作条件改变而造成的额外误差。

3.误差的表示

(1)绝对误差

仪表的指示值与被测量实际值之间的差值叫做绝对误差,用符号△表示。即

△=Ax-A0 (4-1)

计算△值时,通常用标准表的指示值作为被测量的实际值。

式中 △——绝对误差;

Ax——仪表的指示值;

A0——被测量的实际值。

[例4-1] 用一只标准电压表来校验甲、乙两只电压表,当标准表的指示值为220V时,甲、乙两表的读数分别为220.5V和219V,求甲、乙两表的绝对误差。

[解] 甲表的绝对误差

△=Ax-A0=220.5-220=+0.5(V)

乙表的绝对误差

△=Ax-A0=219-220=-1(V)

结果表明,绝对值有正负之分。正误差说明指示值比实际值大,负误差说明指示值比实际值小。

由式(4-1)可得

A0=Ax-△=Ax+(-△)=Ax+C (4-2)

式中 C=-△——仪表的校正值。引入校正值C后,就可以利用式(4-2)对仪表的指示值进行校正,从而得到被测量的实际值。

(2)相对误差

相对误差是绝对误差与被测量约定值之比的百分数。

相对误差有以下表示形式:

①实际相对误差。绝对误差△与被测量的实际值A0之比的百分数叫做实际相对误差,用符号γA表示。即:

由于被测量的实际值A0难以确定,通常采用示值相对误差。

②示值相对误差。绝对误差△与仪表指示值Ax之比的百分数叫做示值相对误差,用符号γx表示。即:

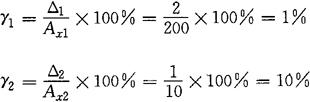
[例4-2] 已知甲表测量200V电压时的绝对误差为2V,乙表测量10V电压时的绝对误差为1V,试比较两表的相对误差。

[解] 甲表的相对误差为

由上述结果可以看出,甲表的绝对误差△1是乙表绝对误差△2的十倍,但从绝对误差对测量结果的影响来看,甲表的绝对误差占被测量的1%,而乙表却占被测量的10%,甲表的相对误差小于乙表的相对误差。显然,在测量不同大小的被测量时,不能简单地用绝对误差△来判断测量结果的准确程度。实际测量中,相对误差不仅常用来表示测量结果的准确程度,而且便于在测量不同大小的被测量时,对其测量结果的准确程度进行比较。

③引用误差(满度相对误差)。示值相对误差可以表示测量结果的准确程度,但却不能说明仪表本身的准确程度。同一个仪表在测量不同被测量时,仪表指示值Ax可以在仪表的整个刻度范围内变化,对应于不同大小的被测量,就有不同的相对误差。因此不能用示值相对误来衡量一个仪表的准确程度。工程上,一般采用引用误差来反映仪表的准确程度。

绝对误差△与仪表的量程(满刻度值)之比的百分数叫做引用误差,用符号β表示。即:

式中 β——引用误差;

Am——仪表的量程(满刻度值)。

④仪表的准确度。由于仪表在测量值不同时,绝对误差多少有些变化,因而引用误差也会随之变化。所以,工程上规定以最大引用误差来表示仪表的准确度。

最大绝对误差与仪表量程之比的百分数叫做最大引用误差,用符号βm表示。最大引用误差又叫做仪表的准确度,用符号K%表示,其中K为仪表的准确度(精度)等级。即:

式中 △m——最大绝对误差;

Am——仪表量程;

βm——最大引用误差;

K——仪表的准确度(精度)等级。我国生产的电工仪表,根据国家标准其准确度(精度)等级共分为七级,如表4-1所列。

表4-1 仪表的准确度

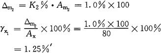
[例4-3] 现有准确度等级为0.5级,量程为0~300℃和准确度等级为1.0级,量程为0~100℃的两个温度计去测量80℃的温度计,试问采用哪一个温度计好?

[解] 用准确度等级为0.5级的温度计测量时,其示值相对误差为:

用准确度等级为1.0级的温度计测量时,其示值相对误差为:

计算结果表明,用准确度等级为1.0级的温度计比准确度等级为0.5级的温度计更适合。选用仪表时要同时考虑仪表的准确度等级和量程。

随便看

 

离鸟网收录3541549条中英文词条,其功能与新华字典、现代汉语词典、牛津高阶英汉词典等各类中英文词典类似,基本涵盖了全部常用中英文字词句的读音、释义及用法,是语言学习和写作的有利工具。

 

Copyright © 2004-2024 vtrois.com All Rights Reserved
更新时间:2026/4/9 10:05:43