网站首页  词典首页


请输入您要查询的字词:

 

字词 企业经济核算方法
类别 中英文字词句释义及详细解析
释义

企业经济核算方法


进行企业经济核算,需要运用一套科学的方法。这些方法包括预测、计划、核算和分析。通过预测可为制定切实可行的计划提供科学的依据;通过编制计划,为企业选择和确定一个最优的生产经营方案;通过核算,进行反映和监督,以了解和掌握在经济活动过程中发生的劳动所得与劳动所费;通过分析,研究实际执行结果与原定计划之间的偏差及其产生的原因,并反馈至下一个生产经营活动周期。制定出更为合理的计划和采取更有效的控制措施。这些方法;一环扣一环,构成业务方法的统一整体。在此简要介绍有关的方法。

一、经济核算的业务方法

(一)制定目标计划是进行全面经济核算的首要环节

企业的生产经营活动,必须在计划的指导下进行。过去,企业的计划是国家、主管部门下达的指令性计划。经济体制改革以来,我国实行了社会主义市场经济,企业除完成有关国计民生的重要产品之外,要根据市场需求组织生产。因此,企业必须根据国家政策、法律和有关规定,在市场调查、预测的前提下,制定切实可行的生产经营计划。进行目标计划管理,这不仅是企业管理的重要内容,而且也是实行经济核算的首要环节。经济核算强调“全面”,所以必须从计划这一首要环节开始抓起,在经济活动开始前,先制定出既符合需要,又科学合理的最优活动方案,做为行为的指南。另外,通过编制计划,可以充分挖掘企业潜力,搞好实际需要与客观可能的平衡关系,把可能产生的浪费消灭在萌芽中。这项工作水平的高低,将直接影响企业的经营成果。一般说来,从计划开始的节约是最大的节约,计划造成的浪费是最大的浪费。

1、企业计划的分类

企业计划可以分为长期计划,年度计划和作业计划。

(1)长期计划。是指一年以上较长时期的计划。可以是三年、五年、十年的计划或者规划。长期计划属于企业简要的目标和纲领性规划,包括企业在较长时期内的生产、技术、经济发展等内容,例如企业的产品发展方向,生产发展的规模、技术的发展水平,以及职工教育培训,生活福利设施的改造等。

(2)年度计划。是企业年度内各个生产环节包括生产、技术、财务等方面的活动计划,又称年度综合计划,或生产技术财务计划。它是企业全体职工在计划年度内的行动纲领,也是进行全面经济核算必须制定的全面计划。它的具体内容根据企业的规模而定,一般包括如下这些方面的计划。

①销售计划。确定全年产品的销售量和销售收入,保证产销衔接,履行合同规定的品种、质量、数量和期限。它的主要指标有:销售额、销售量和交货期。

②生产计划。规定企业基本生产活动的内容,如:产品的品种、数量、质量和产品生产进度。主要指标有:商品产量、总产量(总产值或净产值)、品种数(其中含新产品数)、质量(一级品或优等品率)等。

③劳动工资计划。规定为完成计划所需要的各类职工人数、工资总额和劳动生产率的提高程度。它包括劳动生产率、职工人数、工资计划。主要指标有:劳动生产率、职工总数和工资总额、平均工资等。

④物资供应计划。规定企业为完成生产所需要的各种物资的需要量和供应量。主要指标有:物资需要量、申请量和主要物资、能源消耗的节约额等。

⑤成本计划。规定企业为完成生产任务所需要支出的全部生产费用,各种产品的计划成本及降低产品成本的任务。主要指标有:可比产品成本降低率、单位产品成本等。

⑥财务计划。包括固定资产折旧计划、流动资金计划、产品销售和利润计划,企业和国家交款、贷款的财务往来关系。主要指标有:销售收入、利润、税款及预算拨款等。

⑦技术组织措施计划。规定有关企业各项必进生产,改进技术,和改进组织的重要措施项目及其进度,预期经济效果和负责执行人员。主要指标有:主要措施项目及其费用和回收期。

⑧生产技术准备计划。包括合理安排产品设计、工艺设计、工装制造、新产品试制和试验鉴定等的项目与进度,以及开发新产品,改进新工艺的科研计划。

⑨辅助生产计划。

⑩质量计划。

以前包括在生产计划内,现在大多单独编制。包括产品质量指标,工作质量指标和产品升级计划等。此外,还有设备维修计划和运输计划等。

(3)作业计划。是企业内部为组织日常经济生产活动,并保证它们在时间、数量和质量上平衡衔接的计划,它可以保证正常的生产秩序,组织均衡生产。一般要把作业计划任务落实到科室、车间、班组、甚至机台和个人。

企业生产技术财务计划中所规定的各项计划任务都是通过一定的计划指标来表示的,所以通常说编计划也是编指标。因此计划实际上是一个表明计划任务的指标体系。指标按其性质不同,可分为数量指标和质量指标;按其表现形式不同,可分为生产指标、劳动指标、物资指标、成本、财务指标;按其作用不同,可分为考核指标与计算指标。总而言之,由于计划是用指标体系来规定的,故要完成计划任务,就要通过对指标体系进行分解,逐级落实;考核计划完成的情况,就要通过对指标进行核算。经济核算的具体业务方法实际都是围绕指标体系进行的。编制计划是制定出科学合理的指标体系;核算是对指标体系的具体核算;经济活动分析是对指标体系的完成情况进行分析。

2、企业计划的编制程序

企业计划的编制程序,一般包括准备阶段、编制计划草案阶段和计划确立阶段。

在编制计划的准备阶段,首先在思想上要重视“综合平衡”。因为企业的生产技术财务计划是综合性的计划,它包含许多相互联系又相互制约的因素,必须处理好这几方面的平衡关系:企业生产任务和生产能力、物资供应、劳动力、技术力量、成本、财务等方面的平衡;各指标之间的平衡;各部门、各环节之间的平衡,经过平衡测算,才能使计划既先进,又可靠。

另外,要做好编制计划资料的收集和整理工作。编制计划依据的资料是多方面的,要全面收集。其中最主要的有:搞好市场预测的各项调查研究,掌握充足的信息资料;对上年度计划执行情况进行总结分析,找出差距,拟定改进措施;审核和健全各项技术经济定额,特别对劳动工时定额和原材料、能源消耗定额要预定在先进水平的基础上。

在编制计划草案阶段,主要包括试算平衡和编制计划草案两个步骤。具体的编制工作是在厂长和总经济师、总会计师、总工程师的领导下,以计划科为主,组织各有关部门、科室共同进行。编制计划时,应认真分析准备阶段收集的资料,并做出决策。编好的计划须报上级有关部门批准。

企业上报的计划批准后,属于计划确定阶段,这中间要经过“几上”、“几下”的过程,反复讨论协商,以使计划更正确和切实可行。计划一经确定,企业就要把它作为努力奋斗的目标,并积极组织实施。

(二)掌握科学的核算方法是进行经济核算的中心环节

经济核算的核算方法包括会计核算、统计核算和业务核算,它们互相结合,构成一整套科学的核算方法,单指哪一种核算都是不完整的。

1、会计核算

会计核算,主要是借助于价值形式,通过记帐、算帐,对企业的经济活动进行综合地、系统地、全面地反映和监督。因为它以货币为主要计量单位,所以它能够提供各种各样的综合指标,包括成本、资金、利润等财务方面一些综合性很强的指标。

会计核算具有特定的一套专门的核算方法,主要包括七个方面。

(1)设置帐户。是把资金运动过程中发生的各种经济业务,按其不同的经济内容进行科学的分类。借助帐户可以系统地归集和登记各种经济业务的增减变化,以取得各种经济指标。

(2)复式记帐。这是一种科学的记帐方法,它把每项经济业务都登记在相互联系的两个或两个以上的帐户中,这样能够科学地反映资金运动的全部过程。

(3)填制和审核凭证。会计凭证是记录经济业务,明确经济责任的书面证明和登记帐簿的根据。每项经济业务都必须填制凭证,同时对经济业务的合理性和合法性要进行严格的审核。

(4)登记帐簿。这是在帐簿上连续地、系统地、全面地记录和反映企业的各项经济活动。在帐簿中,对于各项经济活动中所发生的业务,既要分类反映,又要序时反映;既要进行总括核算,又要进行明细核算。通过帐簿可以得到各种指标和数据资料。

(5)成本计算。是按一定对象归集在生产经营过程中耗用的各种生产费用,从而确定其实际成本。成本计算的主要内容是按成本对象归集各项费用,这就需要在各成本计算对象间,在完工产品和在产品之间,以及在各成本计算期间正确地划分费用。

(6)财产清查。是通过核对会计资料和检查货币资金和各项物资的实有数额,以查明帐面数与实际数是否相符。在实际工作中,由于各种原因,会造成帐面数与实际数不符。通过财产清查往往可以揭露问题,检查原因,进行监督,解决问题,然后调整帐面记录,做到帐物相符。

(7)会计报表。是以帐簿记录为主要依据,经过加工整理编制的。会计报表系统地提供一系列经济指标,定期总括地反映企业的财务状况和经济活动成本。

会计核算所运用的各种专门的方法不是孤立的,而是相互联系、配合使用,缺一不可,共同构成会计核算方法的完整体系。

2、统计核算

统计核算是运用基本统计与典型调查相结合的方法,侧重于观察经济现象的数量方面,对经济现象的规模、水平、比例、结构等数量关系进行研究,从中发现其内在联系的规律。统计核算与会计核算不同,会计核算主要以货币为计量单位,提供有关财务方面的指标。而统计核算则以实物、劳动或货币为计量单位提供产量、品种、质量、消耗、劳动生产率等生产指标,它不仅能够提供绝对数指标,还能提供相对和平均数指标。通过统计核算,可以计算当前的实际水平,确定变动的速度,以及预测发展的趋势。

统计核算除了注重研究一些大量的经济现象之外也很重视个别的,特别是先进事物或典型现象的研究。统计核算并不要求对生产经营活动做完整的、全面的、综合的反映。为了使它所研究的对象更有典型性和代表性,通常把一些偶然的因素或者是次要的细节问题予以剔除,以便对主要问题进行深入分析。

统计核算也有一套完整的业务方法,如:全面调查、重点调查、典型调查、抽样调查,分组法、平均数、相对数、以及数理统计的方法等。

3、业务核算

业务核算又叫业务技术核算。它是对企业的个别经济业务或某个类别的经济业务所进行的单项核算。由企业各部门、单位对自己分管的具体业务分别进行。业务核算的内容有:企业的在产品移动,人员的培养,机器设备的负荷和运转情况,经济合同的执行情况等,不少经济技术指标是借助业务核算提供的。

业务核算是采用实物、劳动和货币三种计量单位。它根据核算对象的具体特点来决定应该采用那种计量单位。从实际情况看,一般采用实物或劳动计量为多,业务核算不要求提供总括性或综合性指标。

业务核算的目的,在于迅速地取得资料,以便在经济活动进行的过程中能实施有效的控制。所以,业务核算的资料既要满足管理和核算的要求,又要简明扼要,提高及时性。

业务核算主要要求经济活动或生产经营的某个方面迅速反映出来,它只是记载一些单一事项,把生产进度、人员动态、设备利用等情况略加整理和归类。其核算的方法很灵活,多种多样,核算的范围也不太固定。因此,与会计核算和统计核算相比,它没有独特、完整的一套核算方法。

上述三种核算方法,显然各有自己的特点,各有独特的作用。因此,企业全面经济核算的方法不是单指那一种方法,更不要理解为仅是会计核算方法。会计核算、统计核算、业务核算是相互补充、相互联系的,它们在企业经济核算工作中,往往同时交叉使用。

经济活动分析是经济核算的重要组成部分,我们在下面专门介绍。

二、经济活动分析

经济活动分析是企业进行经济核算的一个重要环节和组成部分。它贯穿于整个生产经营的全过程,即包括事前分析,事中分析和事后分析。

事前分析是经营决策时制定计划阶段的分析;事中分析是指生产经营过程中的分析;事后分析是指生产经营告一段落或结束后,根据核算资料进行的分析。我们这里介绍的主要是事后分析。它是以计划指标和通过会计核算、统计核算和业务核算所取得的指标、数据等实际资料为依据,从各经济指标的相互联系中进行比较,对企业的经济活动过程与结果进行检查和分析,以做出评价,揭示矛盾,找出偏差,查明原因,总结经验教训,进行信息反馈,改善下一循环的经营管理。它是核算的继续和深入,对于搞好全面经济核算具有重要作用。

(一)经济活动分析的内容

经济活动分析的具体内容一般包括以下几个方面:

1、生产分析

生产分析有几个内容:第一,要对生产的进度、生产的均衡性、生产的成套性、产品产量、产值、计划完成情况,以及产品品种、产品质量等计划执行情况进行分析。第二,要结合劳动、材料、设备等方面分析影响生产计划指标完成的情况及原因。第三,对有关的技术组织措施的实现情况,进行检查和分析。

2劳动分析

主要分析影响劳动生产率提高的各种因素,如劳动力的配备情况,工作时间利用情况,劳动定额完成情况,职工技术熟练程度提高情况等。

3材料分析

主要分析各种原材料、燃料、动力等利用的效果、耗用情况、供应情况和储备情况。

4设备分析

主要分析各类机器设备的利用效果,完好情况,修理及更新改造情况。

5销售分析

主要分析销售产品的品种、数量、质量、价格、销售合同执行情况,以及销售地区、方式、市场占有率、技术服务、广告推销等情况。

6成本分析

主要是对全部产品的总成本、单位产品成本和可比产品成本降低情况的分析,对产品成本的经济内容,如材料费、工资和管理费的分析,及对影响成本变动的基本因素,产品成本指标完成情况,技术经济指标完成情况对产品成本影响的分析。

7财务分析

包括对影响利润变化的基本因素的分析,利润计划完成情况的分析,利润率的分析以及滚动资产的占用情况的分析,产成品变化对流动资产利用效果影响的分析,固定资产的占用和利用情况的分析,以及有关比率分析等。

(二)经济活动分析的形式和程序

企业经济活动分析可按不同的标准划分为多种形式

1.以分析的范围为标准,可以分为厂级分析、车间分析和班组分析

厂级分析是在全厂性核算基础上进行的综合分析,由各职能部门分工进行,最后由计划财务部门综合汇总。

车间分析是在车间范围内进行的经济活动分析,由车间有关管理人员分工进行,由计划员或核算员综合汇总。

班组分析是班组范围内的经常性分析工作,往往采用“一事一议”的形式,由核算员汇总。

2.以分析的内容为标准,分为专题分析和全面分析

专题分析是对一些重大的具有典型意义的问题或者是薄弱环节组织力量是进行专门的深入分析,以求尽快地解决问题。

全面分析是通过对大量资料的综合研究和对重点问题的调查,对企业或车间的经济活动进行全面系统的分析,这种分析可以评价生产经营的全面情况。

3.以分析的时间为标准,可以分为日常分析与定期分析

日常分析是在计划执行过程中经常进行的分析,它可以及时发现问题,加以纠正。班组分析和专题分析,往往采用这一形式。

定期分析是指按年、季、月进行的分析。它通常通过对一定报告期的资料进行分析研究,能系统、全面地评价各项指标的完成情况,一般适用于厂级、车间的分析和全面分析。

进行经济核算就要求厂部各职能科室、车间、班组,根据具体情况定期地或经常地采用适当方式进行专题或全面的分析。

经济活动分析一般的程序是:

首先,提出课题。根据企业中心工作的要求和需要解决的问题,明确分析的要求是什么,拟好分析的大纲,以便使分析工作有计划有步骤地进行。

其次,要收集大量内容真实,数据正确的资料。收集资料不仅需要现有核算的资料,而且要有计划、定额、上一报告期、以及国内(外)同行业先进企业的有关资料。这样根据资料和活的情况,运用对比分析的方法,揭露矛盾,找出差距,发现问题。分清先进与落后、成绩与不足、节约与浪费。

第三,根据发现的问题,分析造成差异的原因,并查出主要原因,抓住主要矛盾。

第四,再根据分析的结果,针对生产经营中的薄弱环节,提出改进的意见,并抓好具体落实的措施。

第五,写出分析报告,报告要观点明确、重点突出、分析有理、措施得当

(三)经济活动分析的方法

经济活动分析要利用一定的技术方法来进行,技术方法有多种,基本的方法如下:

1比较法

是通过对事物法因素的相互联系,从发展变化上进行对比、分析、研究、揭露矛盾,找出差距。这咱方法是经济活动分析的基本方法,又叫对比分析法。在实际工作中应用十分广泛,具体做法是:

(1)实际指标与计划指标对比。就是将报告配合实际完成的指标同计划指标进行比较,以确定计划完成的情况。例如,以实际成本与计划成本比较,如果实际成本数字大于计划成本数字。说明没有完成成本计划,反之,早完成或超额完成了计划。运用这种比较方法,不能只是单纯地比较出结果,还要在比较的基础上,进一步分析计划完成好坏的原因,挖掘潜力,改进工作,或适当修改计划。

(2)本期实际指标与上期或上年实际指标对比。这种比较可以从动态上观察一些重要经济指标的发展变化,掌握企业经济活动的变动趋势和发展速度。例如:将报告中的总产值与上年同期的总产值进行比较,可以反映出企业的发展和生产速度。以本期的成本结构和上期的成本结构进行比较,可以发现成本结构的变动情况。这样可以总结经验教训,更好地指导以后的工作。

(3)本期实际指标与本企业历史最好水平对比。这种比较可以看出企业的本期实际指标是否达到了本单位历史最好水平。例如,把本期劳动生产率的指标和本企业历史的最好水平进行对比,可以看出企业的劳动生产率是达到或超过历史记录,还是比历史倒退了。在此基础上分析其原因,以便进一步挖掘企业的潜力。

(4)本企业的实际指标与国内同行业先进企业的实际指标对比。这种比较可以发现与先进企业的差距,寻找产生差距的原因,激励职工赶学先进,推动整个行业共同前进。

(5)本企业的实际指标与世界先进水平对比。这种比较可以看出我国与世界最先进的水平存在的差异,以便明确方向,鼓励广大职工树雄心,立壮志,努力赶超世界先进水平。

运用比较法,需要注意指标之间的可比性,只有存在着共同基础的经济指标,才能用来对比分析。这就要求进行对比的经济指标之间必须经济内容相同。时间长短相等,计价标准一致。另外不同企业之间进行比较分析的,还应注意到生产规模、生产组织、生产技术等方面的因素对经济指标的影响。否则,会得出不正确或不完整的结论。

2因素分析法

通过比较法可以对比分析出实际指标与计划指标之间的差异,本企业与先进企业之间,与国际先进水平之间的差异;本期与上期、上年同期之间的差异。但要研究这些差异形成的原因,还需要对影响差异的各种因素做进一步的具体分析,分析诸因素对经济指标的影响及影响程度。这就需要进一步进行因素分析。进行因素分析的方法有连环替代法和差异计算法。

(1)连环替代法。连环替代法,也叫连锁替代法,它是按一定替代顺序去分析差异因素的方法。连环替代法的具体计算方法,是把影响某一计划指标完成情况的各项因素排列好,先假定其中一个因素变动,其余因素不变,计算出该因素对总指标变动的影响程度。然后,依次把其余因素替代进去计算,算出各项因素对总指标变动的影响程度。下面举例说明。

[例]根据图表2-2的资料,分析某企业材料费用总额的变动。

图表2-2

从图表中的资料可以看出,实际材料费用总额比计划数额超支920元。影响材料费用总额变动的因素有三个方面:一是产量的增加;二是单位产品材料消耗量降低;三是材料单价的上涨。

在采用连环替代法时,以计划指标体系为基础,按着各因素之间的依存关系,确定替代顺序,每次替换一个,直到全部替换成实际因素时为止。这样,相邻两个指标的差异就是此次替代因素所影响的结果。具体计算过程如下:

从上面的计算可以看出,先计算出计划指标体系,即材料的计划费用总额1000元,以此为基础替换。第一次用实际产量数代替计划产量数,计算出由于产变动增加了200元;第二次用实际材料单耗数代替计划材料单耗数,计算出材料单耗变动影响减少了240元;第三次用材料实际单价替换材料计划单价,计算出因材料单价变动影响增加960元。这时,实际指标已经全部替换了计划指标,变成了实际指标体系,即材料的实际费用总额1920元。把三处因素变动影响的数额相加,应等于实际材料费用总额与计划材料费用总额之间的差异920元,计算结果相同,说明分析正确。

根据以上分析可见,实际材料费用总额超过计划费用总额,主要是由于产量增加和材料单价增长所造成的。产量增加于应增加材料消耗量,这是正常的。至于材料单价增长要做进一步分析。如果是采购不合理,加大采购费用,造成采购成本增加,材料单价增长,应进一步查明具体原因,采取相应措施。如果是材料价格上涨,属客观原因所致,只有采取办法,内部消化。另外,材料单耗降低,在保证产品质量的情况下,这表明企业管理比较好。因此,通过分析,虽然材料实际费用总额比计划费用总额有所增加,但应肯定成绩,并明确下期的工作方向。每次分析完,应评价分析结果,并做出简要说明。

必须指出,在应用连环替代法时,应注意以下两个问题:

首先,这种分析方法是假定在其他因素不变的情况下,确定某个因素变动的影响。但是在现实情况中,很多因素的变动往往是交织在一起的,而不可能那么简单。因此,对计算所得的结果,还应进一步深入实际,调查研究,全面掌握实际情况,这样才能准确地查明原因,提出改进工作的切实可行的措施。

另外,应用连环替代法必须注意排列的顺序,排列顺序不同,替代的顺序随之发生变化,分析计算的结果则不相同。

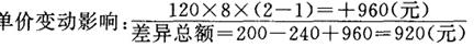
仍然使用上例,将第三个因素的排列顺序予以颠倒,即先替代材料单价,再替换材料单耗,最后替换产品产量。计算结果如下:

将上述两种替换顺序的结果进行比较,可以看出差异总额不变,都是920元,但是各种因素的影响程度却不同了。在第二种替代情况下,因材料单价变动影响而增加1000元,材料单耗变动影响减少400元,产量变动影响增加320元。为什么替换顺序不同,各因素影响的程度不样一呢?其原因是替换顺序变动后,所依据的其他因素发生了变化,所以计算的结果也就不同。例如,在第一种替换顺序情况下,产量变动的影响是在计划单价和计划单耗的基础上计算的:

在第二种替换顺序下,产量变动的影响是在实际单耗和实际单价的基础上计算的:

由于计算的基础不同,所以因产量变动影响的结果发生了差异。但是我们同时也看到,因素排列的顺序不同,只能导致各因素的影响程度不同,并不造成各因素影响总额的变化。在两种替换顺序的情况下,各因素影响的费用总额都是920元。因此,在使用连环替换法时,要想合理地分析出各因素的影响程度,必须按照它们之间的依存关系和内在的规律性正确地按排顺序。一般情况下,主要指标在先,次要指标在后,数量指标在先,质量指标在后;实物指标在先,价值指标在后。各因素的排列顺序一经确定后,不能轻易变动,否则就会影响可比性,不能求得正确的分析结果。

(2)差异计算法。这种方法也是用于因素分析的,它是用同一影响因素实际数与计划数的差额,直接计算该因素对经济指标的影响程度,实际上是连环替代法的简化形式。它们的原理完全相同,只是方法简便易行。现在仍以上面举的资料为例,进行说明。

计划指标体系:100×10×1=1000(元)

产量变动影响:(120-100)×10×1=+200(元)

单耗变动影响:120×(8-10)×1=-240(元)

因为这种方法简便,所以采用较广泛。

经济活动分析方法,除上述两种基本的方法外,还有一些其它的方法和辅助方法。比如,对企业的各种资金来源和资金占用的平衡关系进行分析,采取平衡分析法。进行专题分析,采用调查分析法。分析总体内部结构状态,采用分组法。分析经济活动的动态和发展状况,采用指数法和图表法。研究经济现象之间的联系和依存关系,采用相关分析法。在产品质量分析中,采用数理统计方法。此外,还有ABC分析法,“成本——产量——利润分析”(也叫损益平衡点分析),价值分析等等。总而言之,在全面经济核算的过程中,厂部各职能部门、车间、班组应根据客观的实际需要和可能,灵活地选择分析方法,以求准确、及时、合理、简便地对各项经济活动做出分析。

3.比率分析法

比率是用倍数或比例表示的分数式。比率分析则是根据经营活动客观存在的相应依存、相互联系的关系,将财务报表中不同项目之间,不同类别之间,或不同报表之间加以比较,用比率来反映它们的相互关系,以求评价企业的财务状况和从中发现经营中存在的问题。一个比率可以从任何两个数字计算得到,财务报表中有大量的数据,可以根据需要计算出很多有意义的比率。这些比率涉及到企业经营管理的各个方面,大致可以分为以下几类:流动资产状况和短期偿债能力的分析;长期偿债能力的分析;盈利能力分析等。分类的方法没有统一的标准各企业、各行业可以根据自己的特点和需要进行分类。

分析财务报表所使用的比率以及对同一比率的解释和评价,随分析资料的使用者目标和用途的不同而改变。一个短期债权人在考虑是否给一个企业短期贷款时,它关心的是该企业的资产流动性的比率,而长期债权人和企业投资者着眼于企业的获利能力和经营效率,对资产的流动性则很少注意。投资者的目的,在于考察企业的获利能力和经营趋势,以便取得理想的投资报酬。至于企业主管部门的经营者,则关心财务分析一切方面,既要保证企业具有偿还短期和长期债务的能力,又要替投资者获得尽可能多的利润。

使用比率分析法应注意的问题:

(1)正确计算比率。由于财务报表的期间不同,采用比率指标来对比资产负债表和损益表数据存在一些不可比因素。这是因为损益表是期间会计报表,反映整个会计年度的经营成果,而资产负债表只是反映某个时点的财务状况,反映不出各项目的全年平均数据。例如用损益表中销售收入与资产负债表中应收帐款相比较,反映应收帐款的周转速度,就需要一种合理的方法,计算出销售收入数字所涉及的全年平均应收帐款。对于企业外部的分析法业说,不容易甚至不可能获得该企业每月应收帐款的余额数字,因此在这种情况下,外部分析者只好用期初和期末的应收帐款余额简单地平均,这种方法实际上是假定在会计年度内各月的应收帐款余额相等,没有考虑到营业的季节性和营业周期的变化,也没有解决在整个会计年度内不均衡变动的问题。如果实际上确实变化不大,其计算结果是较准确的;如果变化较大,其计算结果会有一定的差距。分析者对此要慎重对待,需要结合其他有关比率指标一起分析才能得到有说服力的结论。

在比率分析中,经常会遇到带负号的数据,分子或者分母带负号所计算的比率是没有意义的。如果要计算,必须附有详细的说明资料。

(2)正确使用比率。正确地使用比率,就是要根据行业的特点,企业的类型和分析的目的,选择有用的比率进行分析。不能仅选用一个单元的比率,而是要选用一组相互联系的比率进行对比分析,才能提供一个合理的结论。

(3)制定内部标准比率。一个制定有全面预算的企业,可以根据预算编制出预计的损益表和预计的资产负债表。据此可以计算出各种预计的比率,形成一套企业的内部标准比率,作为在一定时间内努力实现的目标。它与计划(预算)指标是相辅相承的,其目的是将事后的分析工作变成事前的控制和事中的分析,及时发现问题,改进工作,使企业的管理水平达到一个新的高度。

三、财务分析

财务分析,是指为了了解企业经营情况和经营内容而分析各种财务项目的活动。分析的主要目标是评价企业的损益状况(即盈利能力)和收支状况(即流动性或者偿债能力)。

(一)短期偿债能力分析

企业的短期偿债能力,是指偿付短期债务的能力。所有财务报表的使用者都关心企业的短期偿债能力。如果企业无法保持一定的短期偿债能力,则意味着不仅不能满足短期债务人的需要,在偿还长期性债务方面也存在着问题。即使是一个盈利不错的企业也存在着由于资金调度不灵,偿还不了短期债务而破产的危险。

企业的短期偿债能力,体现于资产变现能力和债务多少的相互关系。变现能力的强弱,则要看企业资产的流动性。这种比较可以通过几个指标的计算进行:营运资金、流动比率、速动比率和现金比率。

1.营运资金

(1)什么是营运资金?营运资金是指流动资产超过流动负债的部分。其计算方法很简单,把流动资产总额减去流动负债总额就是营运资金。其计算公式为:

营运资金=流动资产-流动负债

[例]某公司19××年度期末流动资产为700万元,流动负债为300万元,该公司营运资金为:

营运资金=700-300=400(万元)

营运资金是企业短期偿债能力的重要指标。具有一定数额的营运资金,表明企业有能力偿还短期负债,营运资金越多,偿还能力越强。

(2)营运资金状况的分析。企业营运资金状况的分析,有时也称为短期信用分析。这是短期债权人最关心的问题,长期债权人和投资人也非常关心营运资金的状况。因为营运资金的短缺,有时会迫使为了维持正常的经营和信用,在不适合的时机和按不利的利率进行不利的借款,从而影响利息和股利的支付能力。因此,在举借长期债务的合同中,通常包含要求借款企业保持适当流动比率的条款。

营运资金的合理性。短期债务人希望营运资金越多越好,这就就可以减少借款风险。但是过多地占有营运资金,说明企业利用外来资金扩大经营规模的潜力没有充分发挥,失去了扩大经营,获取更多利润的机会。因此,流动资产和流动负债之间,应当保持多少是合理的。为确定其合理性,要将当期的营运资金指标与过去期间的营运资金指标相比较;与同行业的企业之间相比较。比较时要注意到企业规模大小对营运资金的影响。如果发现营运资金显得过高或者过低,就必须逐项分析流动资产和流动负债。分析各项前后期间的变化和所占比重,找出影响高或低的主要因素,确定解决的办法。同时,还要将营运资金指标同销售收入及流动比率等指标联系起来加以考察,确定其合理性。

营运资金周转率。营运资金周转率是将年销售收入与营运资金对比,反映营运资金在一年内的周转次数。其计算公式为:

营运资金周转率=销售收入÷平均营运资金

这个指标的计算要用到两张会计报表的数据:营运资金来自资产负债表,销售收入来自损益表。在资产负债表中,数据是期末的,而损益表的数据是期间的,两者不可简单相比。为了避免这个矛盾,可采用年度内每月末营运资金的平均数。报表的外部使用者,因得不到每月的资料,只好采用年初年末数相加除2的办法,求得全年的平均数。

[例]某公司19××年度有关资料如下:

销售收入 3000(万元)

年初流动资产 610

减:年初流动负债 220

年初营运资金(A) 390

年末流动资产 700

减:年末流动负债 300

年末营运资金(B) 400

平均营运资金(A+B)/2 395

营运资金周转率3000/395 7.59(次)

如果企业的流动负债大于流动资产,营运资金是负数,则不能计算营运资金周转率。企业已经没有营运资金了,也就谈不上周转快慢了。

不存在衡量营运资金周转率的通用标准,只有将这一指标与企业历史水平,与其他企业或者同行业平均水平相比才有意义。但是可以说,如果营运资金周转率过低,表明营运资金使用率太低,即相对于营运资金来说,销售不足,尚有潜力可以挖掘;如果营运资金周转率过高,则表明资金不足,业务规模过大,超过了实际能力,处在资金周转不灵的债务危机之中。

影响营运资金的价格因素。在企业流动资产构成中,除存货以外,其他各种资产,包括货币资金和应收帐款都属于直接用货币计算的流动资产,因此,不存在计价问题。存货与此不同,是具有实物形态的资产。由于各种存货是从不同的单位分次购入或者分批生产出来的,而存货的使用或发出也是根据生产的需要连续不断地经仓库转移到生产过程中去,这就需要确定存货的计价原则,以便正确计算成本。我国《企业财务通则》和《企业会计准则》都明确规定存货的计价原则是以成本价为基础。各种存货应按取得时的实际成本核算。各种存货发出时,企业可以根据实际状况,选择使用先进先出法、加权平均法、移动加权平均法、个别计价法、后进先出法等确定其实际成本。

由于发出存货可以按不同的方法确定其实际成本,所以对于生产成本、利润和税金等会产生影响,在这里暂不作分析。但要说明的是,由于物价上涨,帐面上反映的存货成本价值,往往要低于存货的重置成本(市场价格+采购费用)。特别是在后进先出法下,这种差距会相当大。在企业流动资产的构成中,存货的比重一般占到50%或更大,低估存货价值,也就低估了流动资产的价值,从而也就低估了营运资金。

此外,在流动资产中的短期投资项目是指企业利用暂时闲置的资金,为近期利益而进行的投资。当其自身资金周转发生困难时,它可以立即变现收回。企业这种短期投资的主要形式是购入短期债券(包括国库券、金融债券、政府债券、企业债券以及股票等)和不超过一年的其他短期投资。在我国短期证券按取得时以成本计价。成本和市场价格往往会有较大的背离,一般情况下帐面成本低于市场价格,这就会导致低估营运资金,如果市场价格低于成本,则结果正好相反。

综上所述,由于流动资产和流动负债的数据都来自于企业的帐面资料,而流动资产的价值往往又低于现时价值,特别是短期证券和存货两项就更是如此,因而很容易发生低估营运资金。这也是在运用营运资金指标衡量企业短期偿债能力时所应该注意的。

企业的长期债券投资是做为长期投资而单独反映,但将在一年内到期的长期债券投资可以变现,其性质已从长期投资变为短期投资了,因此要把这部分长期债券列入流动资产,在“一年内到期的长期债券投资项目”中单独反映。但是,有意将长期债券投资列入该项目,夸大企业短期偿债能力,则是不对的。

2.流动比率

(1)什么是流动比率?流动比率是流动资产除以流动负债的比值。其计算公式为:

流动比率=流动资产÷流动负债

[例]某公司19××年年末流动资产为700万元;流动负债为300万元。依上式计算其流动比率为:

流动比率=700÷300=2.33。与营运资金相比,流动比率更能反映短期偿债能力。这是因为营运资金只是流动资产与流动负债之差,是个绝对数,如果企业之间规模相关很大,绝对数相比是没有意义的。而流动比率考虑到了流动资产的规模与流动负债的规模之间的关系,是个相对数,更适合企业之间以及本企业不同历史时期之间的比较。

(2)流动比率分析。一般认为,生产企业合理的最低流动比率是2这是因为处在流动资产中,变现能力最差的存货部分所占金额,约占流动资产总额的一半,剩下的流动性大的流动资产至少要等于流动负债,企业的短期偿债能力才会有保证。人们长期以来的这种认识,还不能成为一个统一的标准,因为其不能够从理论上来加以证明。

计算出来的流动比率,只有和同行业的平均流动比率、本企业历史上不同时期的流动比率来进行比较,才能知道这个比率是高还是低。这种比较通常并不能说明流动比率为什么这么高或者低,要找出过高或者过低的原因,还必须分析流动资产和流动负债所包括的内容以及经营上的因素。一般情况下,营业周期、流动资产中的应收帐款数额和存货的周转速度是影响流动比率的主要因素。

营业周期,是指从取得存货开始到销售存货并收回现金为止的这段时间。营业周期的长短取决于存货周转天数和应收帐款周转天数。营业周期的计算公式如下:

营业周期=存货周转天数+应收帐款周转天数

把存货周转天数和应收帐款周转天数加在一起计算的营业周期,指的是需要多长时间能将期末存货全部变为现金。一般情况下,营业周期短,说明资金周转速度快,正常的流动比率较低,营业周期长,说明资金周转速度慢,正常的流动比率比较高。这就是营业周期与流动比率的关系。营业周期的长短,取决于存货周转天数和应收帐款周转天数,换句话说,决定流动比率是高还是低的主要因素是存货周转天数和应收帐款周转天数。

存货周转天数。在流动资产中,存货所占的比重较大,存货的流动性,将直接影响企业的短期偿债能力。因此,必须特别重视对存贷的分析。对存款如何估价,也将直接影响营运资金和流动比率。前面已作了分析,这里我们将分析存货的变现能力和流动比率的关系。存货的变现能力,一般用存货的周转速度指标来反映,即存货周转率或存货周转天数。

存货周转率是衡量和评价企业购入存货、投入生产、销售收回等各环节管理状况的综合性指标。它是销货成本被平均存货所除而得到的比率,或者叫存货的周转次数。用时间表示的存货周转率就是存货周转天数。计算公式为:

存货周转率=销货成本÷平均存货

存货周转天数=360÷存货周转率

=360÷(销货成本÷平均存货)

=(平均存货×360)/销货成本

公式中的销货成本数据来自损益表,平均存货来自资产负债表中的“期初存货”与“期末存货”的平均数。

[例]某公司19××年度产品销售成本为2644万元,年初存货为326万元,期末存货为119万元,该公司存货周转率为:

存货周转率=2644/(326+119)÷2=11.88(次)

存货周转天数=360÷11.88=30(天)

一般来讲,存货周转速度越快,存货的占用水平越低,流动性就越强,存货转变为现金或应收帐款收回的速度越快,可以增强企业的变现能力。存货周转速度越慢,则是相反的结果。

有货周转率(存货周转天数)指标的好坏反映存货管理水平,它不仅影响企业的短期偿债能力,也是整个企业管理的一个重要内容。企业管理者和有条件的外部报表使用者,除了分析批量因素、季节性生产的变化等情况外,还应对存货的结构以及影响存货周转速度的重要项目进行分析,如计算原材料周转率,在产品周转率等。计算公式如下:

原材料周转率=耗用原材料成本÷平均原材料存货

在产品周转率=制造成本÷平均在产品存货

存货周转分析的目的是从不同的角度和环节上找出存货管理中的问题,使存货管理在保证生产经营连续性的同时,尽可能少占用经营资金,提高资金的使用效率,增强企业短期偿债能力,促进企业管理水平的不断提高。

应收帐款周转天数。应收帐款和存货一样,在流动资产当中,有着举足轻重的地位。及时收回应收帐款,不仅增强了企业的短期偿债能力,也反映出企业管理应收帐款方面的效率。

反映应收帐款周转速度的指标是应收帐款周转率,也就是年度内应收帐款转为现金的平均次数,它说明应收帐款流动的程度。用时间表示的周转次数是应收帐款周转天数,也叫平均应收帐款回收期,它表示企业从取得应收帐款的权利到收回款项,转换为现金所需要的时间。其计算公式为:

应收帐款周转率=销售收入÷平均应收帐款

应收帐款周转天数=360÷应收帐款周转率

=(360×平均应收帐款)÷销售收入

公式中的销售收入”数来自损益表。“平均应收帐款”来自资产负债表中“年初应收帐款余额”与“年末应收帐款余额”的平均数。

一般来说,应收帐款周转率越高、平均收帐期越短,说明应收帐款的收回就越快。否则,企业的营运资金会过多地呆滞在应收款帐上,影响正常的资金周转。影响该指标正确计算的因素有:季节性经营的企业使用这个指标时不能反映实际情况;大量使用分期付款结算方式;大量的销售使用现金支付;年末大量销售或年末销售大幅度下降。这些因素都会对该指标计算结果产生较大的影响。财务报表的外部使用者可以将计算出的指标与该企业前期、与同行平均水平或其他类似企业相比较,才能判断该指标的高低。但仅根据指标的高低分析不出上述各种原因。

3.速动比率

流动比率虽然可以用来评价流动资产总体的变现能力,但人们还希望,特别是短期债权人希望获得比流动比率更进一步的有关变现能力的比率指标。这个指标被称为速动比率,也被称为酸性测试比率。

(1)什么是速动比率?速动比率,是从流动资产中扣除存货部分,再除以流动负债的比值。速动比率的计算公式为:

速动比率=(流动资产-存货)÷流动负债

为什么在计算速动比率时要把存货从流动资产中剔除掉呢?这主要是因为:在流动资产中存货的变现速度最慢;由于某种原因,部分存货可能已损失报废还没有作处理;部分存货已抵押给某债权人;存货估价还存在着成本与合理市场价格相差悬殊的问题。综上述原因,在不希望企业用变卖存货的办法还债,以及排除使人产生种种误解因素的情况下,把存货从流动资产总额中减去而计算出的速动比率,反映的短期偿债能力更加令人可信。

(2)速动比率分析。通常认为正常的速动比率为1,低于1的速动比率被认为是短期偿债能力偏低一些。这仅是一般看法,没有统一的标准,速动比率。因为行业不同,速动比率会有很大的差别。例如,有些采用大量现金销售的商店,几乎没有应收帐款,大大低于1的速动比率则是很正常的。相反,一些应帐款较多的企业,速动比率可能要大于1。

影响速动比率高低的重要因素是应收帐款的变现能力。关于这一点在分析流动比率时已经做了分析,此处不再重复。

由于各行业之间的差别,在计算速动比率时,扣除存货以外,还可以从流动资金中去掉其他一些可能与当行现金流量无关的项目(待摊费用等)以计算更进一步的变现能力。如采取国际上比较流行的保守速动比率,其计算公式如下:

保守速动比率=(现金+短期证券+应收帐款净额)÷流动负债

[例]某公司19××年度期末货币资金为50万元,短期有价证券为6万元,应收帐款净额为398万元,流动负债为300万元,该公司保守速动比率为:

保守速动比率=(50+6+398)÷300

=1.51

当然,各行业可以根据自身的特点,确定计算保守速动比率分子中所包括的具体项目,只要能说明问题并反映实际情况,就可以做为反映行业特点的内部评价指标。

4.现金比率

(1)什么是现金比率?现金比率是现金与短期证券之和,除以流动负债的比例。计算公式为:

现金比率=(现金+短期证券)÷流动负债

[例]仍以前例为例,某公司的现金比率为:

现金比率=(50+6)÷300=0.19

现金比率反映企业的即刻变现能力,就是随时可以还债的能力。

(2)现金比率分析。在评价企业变现能力时,一般说来现金比率的重要性不大,因为不可能要求企业用现金和短期证券来偿付全部流动负债企业也没有必要总是保持足够的用以还债的现金和短期证券。但是,当发现企业的应收帐和存货的变现能力存在问题,现金比率就显得很重要了。它的作用是表明在损坏情况下,短期偿债能力如何。此外,在某些行业中,现金比率可能是很重要的,因此,要重视分析在特殊条件下的现金比率指标。

现金比率高说明企业即刻变现能力强。如果这个指标很高,也不一定就是好事。它可能反映该企业不善于充分利用现金资源,没有把现金投入经营以赚取更多的利润。因此,在对这个指标下结论之前,应充分了解企业的情况。有时候企业可能有特殊的计划需要使用现金,如集资用于扩大生产能力的建设,就必须使手头上的现金增加,在这种情况下,现金比率会很高,不能误认为偿债能力就很强。但不管怎样讲,过低的现金比率反映企业的支付能力一定存在着问题,时间长了会影响企业的信用。企业保持一定的合理的现金比率是很必要的。

5.其他影响变现能力因素

上述变现能力指标,都是从财务报表资料中取得的,还有一些财务报表资料中没有反映出来的因素,也会影响企业的短期偿债能力,甚至影响力相当大。财务报表的使用者,多了解些这方面的情况,有利于做出正确的判断。

(1)增加变现能力的因素。企业流动资产的实际变现能力,可能此财务报表项目反映的变现能力要好一些,主要有以下几个因素:

可动用的银行贷款指标。

银行已同意,企业未办理贷款手续的银行贷款限额,可以随时增加企业的现金,提高支付能力。这一数据不反映在报表中,必要时,应在财务情况说明书中予以说明。

准备很快变现的长期资产。

由于某种原因,企业可能将一些长期资产很快出售变为现金,增加短期偿债能力。企业出售长期资产,一般情况下都是要经过慎重考虑的,企业应根据近期利益和长期利益的辩证关系,正确决定出售长期资产的问题。

偿债能力的声誉。

如果企业的长期偿债能力一贯很好,有一定的声誉,在短期偿债方面出现困难时,可以很快地通过发行债券和股票等方法来解决资金的短缺,提高短期偿债能力。这个增加变现能力的因素,取决于企业自身的信用声誉和当时的筹资环境。

(2)减少变现能力的因素。减少企业流动资产变现能力的因素,未在财务报表中反映的主要有:

未作记录的或有负债。或有负债是有可能发生的债务。对这些或有负债,按我国《企业会计准则》并不作为负债登记入帐,也不在报表中反映。只有已办贴现的商业承兑汇票,作为附注列入在资产负债表的下端。其他的或有负债,包括售出产品可能发生的质量事故赔偿、尚未解决的税额争议可能出现的不利后果、诉讼案件和经济纠纷案可能败诉并需赔偿等等,都没有在报表中反映。这些或有负债一旦成为事实上的负债,将会加大企业的偿债负担。

担保责任引起的负债。企业有可能以自己的一些流动资产为他人提供担保,如为他人向金融机构借款提供担保,为他人购物担保,或为他人履行有关经济责任提供担保等。这种担保有可能成为企业的负债,增加偿债负担。

(二)长期偿债能力分析

长期负债是指偿还期在一年或者超过一年的一个营业周期以上的债务,包括长期借款,应付长期债务、长期应付款等。

企业的长期偿债能力,是指偿付长期债务的能力。企业对一笔债务总是负两种责任:一是偿还债务本金的责任;二是支付债务利息的责任。分析一个企业的长期偿债能力,主要是为了确定该企业偿还债务本金与支付债务利息的能力。

具体分析方法是:通过财务报表中的有关数据来分析权益与资产之间的关系,分析不同权益之间的内在关系,分析权益与收益之间的关系,计算出一系列的比率,可以看出企业的资本结构是否健全合理,评价企业的长期偿债能力。

1.资产负债率

(1)什么是资产负债率?资产负债率是负债总额除以资产总额的百分比,也就是负债总额与资产总额的比例关系。资产负债比率反映在总资产中有多大比例是通过借债来筹资的,也可以衡量企业在清算时保护债权人利益的程度。计算公式如下:

资产负债率=(负债总额÷资产总额)×100%

公式中的负债总额不仅包括长期负债,还包括短期负债。这是因为,短期负债作为一个整体,企业总是长期性占用着,可以视同长期性资本来源的一部分。例如,一个应付帐款明细科目可能是短期性的,但企业总是长期性的保持一个相对稳定的应付帐款总额。这部分应付帐款可以成为企业长期性资本来源的一部分。本着稳健原则,将短期债务包括在用于计算资产负债率的负债总额中是合适的。

公式中的资产总额则是扣除累计折旧后的净额。

[例]某公司19××年度负债总额为1060万元,资产总额为2000万元,依上式计算资产负债率为:

资产负债率=(1060÷2000)×100%=53%

(2)资产负债率分析。这个指标反映债权人所提供的资本占全都资本的比例。这个指标也被称为举债经营比率。它有以下几个方面的含义:

一方面,从债权人的立场看,他们最关心的是贷给企业的款项的安全程度,也就是能否按期收回本金和利息。如果股东提供的资本与企业资本总额相比,只占较小的比例,则企业的风险将主要由债权人负担,这对债权人来讲是不利的。因此,他们希望债务比例越低越好,企业的偿债保证程度强,贷款不会有太大的风险。

另一方面,从股东的角度来看,由于企业通过举债筹措的资金与股东提供的资金,在经营中发挥着同样的作用。所以,股东所关心的是全部资本盈利率,是否超过借入款项的利率,即借入资本的代价。在企业所得的全部资本利润率超过因借款易支付的利息率时,股东所得到的利润就会加大。

[例]企业全部资本是800万元,全部资本利润率为25%,则企业获利120万元。其中,借入资本(债务人提供资本)500万元,利息率为10%,则应付利息为50万元。股东资本(业主提供资本)为300万元,获利润70万元(120-50),股东资本利润率为23.33%。可见股东在付出有限代价的条件下,获得的则是很高的资本利润率。在这种情况下,举债经营对股东来讲是非常有利的。

如果运用全部资本所得的利润率,低于借款利息率10%,则对股东(业主)就不利了。

[例]企业全部资本为800万元,资本利润率为7%,则企业获利为56万元。其中,借入资本(债务人提供资本)为500万元,利息率为10%,则应付利息50万元。股东资本(业主提供资本)为300万元,仅获得付息后利润6万元(56-50),股东资本利润仅有2%。

在这种情况下,举债经营对股东(业主)来说是不利的,因为借入资本的利息,要用股东所得的利润份额来弥补。

因此,从股东(业主)的立场来看,在全部资本利润率高于借款利息率时,负债比例越大越好,反之亦然,在全部资本利润率低于借款利息率的,负债的比例越小越好。

另外,从经营者的立场来看,如果举债很大,超出债权人心理承受程度,则认为是不保险的,企业就借不到钱。如果企业不举债,或者负债比例很小,说明企业畏缩不前,对前途信心不足,利用债权人资本进行经营活动的能力很差。借款比率越大(当然不是盲目的借款),越是显得企业活力充沛。

企业应当审时度势,全面考虑,在利用资产负债比率制定借入资本决策时,必须充分估计预期的利润和增加的风险,在二者之间权衡利害得失,做出正确的决策。

2.已获利息倍数

(1)什么是已获利息倍数?从债权人的立场出发,他们向企业投资的风险,除了计算上述资产负债率,审查企业借入资本占全部资本的比例以外,还要计算营业利润是利息费用的倍数,利用这一权益项目比率,来测试债权人投入资本的风险。

已获利息倍数指标是指企业经营业务收益与利息费用的比率,用以衡量偿付借款利息的能力。其计算公式如下:

已获利息倍数=(利润总数+利息费用)÷利息费用

计算公式中的“利润总额”,包括税后利润和所得税。“利息费用”是支付给债权人的全部利息,包括财务费用中的利息,,也包括计入固定资产成本的资本化利息。

(2)已获利息倍数分析。已获利息倍数指标反映企业经营收益为所需支付的债务利息的多少倍。只要已获利息倍数足够大,企业就有充足的能力偿付利息,否则相反。

如何合理确定企业的已获利息倍数。

这需要将该企业的这一指标与其它企业,特别是本行业平均水平进行比较,来分析决定本企业的指标水平。同时从稳健性的角度出发,最好比较本企业连续几年的该项指标,并选择最低指标年度的数据,作为标准。这是因为,企业在经营好的年头要偿债,而在经营不好的年头也要偿还大约同量的债务。某一个年度利润很高,已获利息倍数也会很高,但不能年年如此,采用指标最低年度的数据,可保证最低的偿债能力。一般情况下应采纳这一原则,但遇有特殊情况,需结合实际来确定。

与此同时,结合这一指标,企业可以测算一下长期负债与营运资金的比率,它是用企业的长期债务与营运资本相除计算的。其计算公式如下:

长期债务与营运资金比率=长期负债÷(流动资产-流动负债)

一般情况下,长期债务不应超过营运资金。长期债务会随时间延续不断转化为流动负债,并需动用流动资产来偿还。保持长期债务不超过营运资金,就不会因这种转化而造成流动资产小于流动负债,从而使长期债权人和短期债权人感到贷款有安全保障。

3.产权比率

(1)什么是产权比率?产权比率也是衡量长期偿债能力的指标之一。这个指标是负债总额与股东权益总额之间的比率,也叫作债务股权比率。其计算公式如下:

产权比率=(负债总额÷股东权益)×100%

上述公式中的“股东权益”,也就是所有者权益。

(2)产权比率分析。该项指标反映由债权人提供的资本与股东提供的资本的相对关系,反映企业基本财务结构是否稳定。一般来说,股东资本大于借入资本较好,但也不能一概而论。从股东来看,通货膨胀加剧时期,企业多借债可以把损失和风险转嫁给债权人。在经济繁荣时期,多借债可以获得额外的利润。在经济萎缩时期,少借债可以减少利息负担和财务风险。产权比率高,是高风险、高报酬的财务结构。产权比率低,是低风险、低报酬的财务结构。

该指标同时也表明债权人投入的资本受到股东权益保障的程度,或者说是企业清算时对债权人利益的保障程度。国家规定债权人的索赔权化有股东前面。企业清算时偿债的顺序是:支付清算费用;应付未付的职工工资、劳动保险等;应缴未交国家的税金;尚未偿付的其他债务。偿债后的剩余财产,按股东出资比例分配,未还清债务前不得分配给股东。如果股东资本比重小,企业亏损额超过股东资本,清算财产就可能不足以偿债,债权人将不能足额收回其债权。单纯从企业的长期偿债能力的角度看,产权比率越低越好。

资产负债率与产权比率具有共同的经济意义,两个指标可以相互补充。因此,对产权比率的分析可以参见对资产负债率指标的分析。

4.有形净值债务率

(1)什么是有形净值债务率?有形净值债务率是企业负债总额与有形净值的百分比。有形净值是股东权益减去无形资产净值,即股东具有所有权的有形资产的净值。其计算公式为:

有形净值债务率=[负债总额÷(股东权益-无形资产净值)]×100%

(2)有形净值债务率分析。有形净值债务率指标实质上是产权比率指标的延伸,是更为谨慎、保守地反映在企业清算时债权人投入的资本受到股东权益的保障程度。从长期偿债能力来讲,比率越低越好。

所谓谨慎和保守,是因为本指标不考虑无形资产的价值,如商誉、商标、专利权以及非专利技术等,假定它们是不能用来还债的。该指标其他方面的分析与产权比率相同。

5.其他偿债能力

(1)固定资产与股本之比。固定资产与股本之比,是对比固定资产(净值)与股本权益,亦称自有资本固定率。其中的股本权益也可以用股东权益减去无形资产净值后的有形净值,更能体现稳健性原则。其计算公式如下:

固定资产与股本之比=固定资产(净值)÷股东权益

这个指标可以做为上述各项指标的补充。它表明股东资本在多大程度上投入固定资产。通常这个指标超过1,就意味着企业的固定资产中的一部分和全部流动资产是举债获得的,这是企业财务状况不良的表现,表明该企业靠举债经营,债权人的风险较大。从长期偿债的角度来看,该指标的比率越高,债权人的风险也就越大。

(2)流动负债与股本之比。流动负债与股本之比是对比流动负债与股东权益,其计算公式为:

流动负债与股东之比=流动负债÷股东权益×100%

该指标反映当期到期债务占股东权益的比重,指标越高,债权人的风险也就越大。

(3)固定资产与长期债务的比率。固定资产与长期债务的比率的计算公式为:

固定资产与长期债务比率=固定资产(净值)÷长期负债

假定长期负债是全部用来添置固定资产的,这一比率说明固定资产投资中来自长期负债的程度。在固定资产总额大于负债的情况下,在一定程度上反映企业潜在的借债能力,特别是需要用固定资产作抵押、为债权人提供安全保障的筹措资本能力。从偿还债务的角度看,出售固定资产等长期资产用以偿还债务是企业的最后一道防线。

6.影响长期偿债能力的其他因素

除上述通过损益表、资产负债表中有关项目之间的内在联系,计算出来的各种比率,用以评价和分析企业的长期偿债能力以外,还有一些因素影响企业的长期偿债能力,必须引起足够的重视。

(1)长期租赁。当企业急需某种设备或者其他资产而又缺乏足够的购买资金时,可以通过租赁的方式解决。财产租赁有两种形式:融资租赁和经营租赁。

融资租赁是由租赁公司垫付资金购买设备租给承租人使用,承租人按合同规定支付租金(包括设备买价、利息、手续费等),一般情况下,在承租方付清最后一笔租金后,其所有权归承租方所有。实际上属于变相的分期付款购买固定资产。因此,在融资租赁形式下租入的固定资产作为固定资产入帐,进行管理。相应的租赁费用作为长期负债处理。这种资本化的租赁已经包括在债务比率指标计算之中,在分析长期偿债能力时,已经包括了这个因素。

经营租赁只是一种单纯的租赁业务。以这种形式租入的固定资产不是企业的资产,企业按租赁合同,按期支付租金,作为出租人向其转让财产使用权的报酬。租赁期满,财产归还出租人,所有权不转移。经营租赁费作为企业的费用处理。

企业的经营租赁量比较大,期限也比较长,或具有经营性,则构成了一种长期性筹资,虽然不包括在长期负债之内,但到期时必须支付租金,会对企业的偿债能力产生影响。因此,如果企业经常发生上述经营租赁业务,应考虑租赁费用对偿债能力的影响。

(2)担保责任。企业在与外单位进行联合经营时,往往会发生为对方承担某种经济责任,比如为联营方获得银行贷款提供担保,签定长期供货合同等。这些担保是企业潜在的负债。如果为其提供担保的合作伙伴经营上出了问题,企业将负有连带责任,或者受连带牵累。担保项目的时间长短不一,有可能涉及企业的长期或短期负债。在分析企业长期(短期)偿债能力时,应根据有关资料判断担保责任带来的潜在负债问题。

(3)或有项目。或有项目是指在未来某个或者某几个事件发生或者不发生的情况下,最终会带来收益或者损失,但现以还无法肯定的项目。或有项目的特点是现存条件最终结果不确定,对它的处理方法要取决于未来的发展。

因为或有项目是将来可能发生,并非企业目前真正的收益或者损失,故不列入正式的会计资料和财务报表中。但是这些项目一旦发生便会影响企业的财务状况,因此,企业不得不对它们予以足够的重视,在评价企业偿债能力时,考虑他们的潜在影响。

(三)盈利能力分析

盈利能力就是企业赚取利润的能力。不论是投资人、债权人还是企业经理人员,都日益重视和关心企业的盈利能力。企业盈利的多少和他们有极为密切的关系。对于投资人来讲不仅他们的股息是从盈利中支付的,而且企业盈利增长还能使股票价格上长,在转让股票时还可获得收益。对于债权人来讲,利润是企业用于偿债的重要来源,而且对于信用相仿的两个企业,贷款给利润优厚的企业比贷给利润低薄的企业更为安全可靠,至于企业经理人员,重视盈利水平是因为利润的高低是衡量他们业绩和管理效能优劣的最重要标准。企业的广大职工也会因企业利润水平高,集体福利设施可能有较大改善和获得更多的实惠。一切与企业有关的人,都关心企业的盈利能力,并希望它不断得到提高。

一般说来,企业的盈利能力只涉及正常的营业状况。非正常的营业状况,也会给企业带来收益或损失,但只是特殊状况下的个别结果,不能说明企业的能力。因此,在分析企业盈利能力时,应当排除以下因素:证券买卖等非正常项目;已经或将要停止的营业项目;重大事故或法律更改等特别项目;会计准则和财务制度变更带来的累积影响等因素。

反映企业盈利能力的指标很多,现对通常使用的主要指标作如下分析:

1.资产利润率

(1)什么是资产利润率?资产利润率是企业利润总额与平均资产总额的百分比。平均资产为(期初资产总额+期末资产总额)÷2。资产利润率计算公式为:

资产利润率=(利润/平均资产总额)×100%

[例]某公司19××年度,期初资产为1680万元,期末资产为2000万元,利润总额为200万元,税后利润为136万元。依上式计算资产利润率为:

资产税前利润率=[200/(1680+2000)÷2]×100%

=10.87%

资产税后利润率=[136/(1680+2000)÷2]×100%

=7.4%

(2)资产利润率分析。把企业的一定时间的利润总额与企业的资产相比较,表明企业资产利用的综合效果。指标越高,表明资产的利用率也就越高,说明企业在增收节支和节约资金使用等方面取得了良好的效果。否则相反。

企业的资产是由投资人投入或举债形成的。利润额的多少,与企业的资产结构、经营管理水平等有着密切的关系。资产利润率是一个综合指标,为了正确评价企业经济效益的高低,挖掘提高利润水平的潜力,可以用该项指标与本企业前期、与计划、与本行业的平均水平和本行业内的先进企业进行对比,分析形成差异的原因。影响资产利润率高低因素主要有:产品的价格;单位成本的高低;产品的产量和销售的数量;资金占用数量的大小等。

可以利用资金利润率来分析经营中存在的问题,提高销售利润率,加速资金周转。从下列计算公式中可以看出资产利润率和销售利润率、资产周率的关系。

资产利润率=利润总额÷资产总额

=(利润总额×销售收入)×(销售收入÷资产总额)

=销售利润率×资产周转率

上式表明,提高销售利润率和加速资金周转率都会提高资产利润率。用销售利润率和资产周转率与本企业前期、与计划、与同行业平均水平相比较,则更能具体地说明差异是在什么地方,便于找出原因,加以改进,增强企业获利能力。

2.资本金利润率

(1)什么是资本金利润率?资本金利润率是指企业的利润总额与资本金总额的百分比。其计算公式为:

资本金利润率=(利润总额/资本金总额)×100%

公式中的资本金是指企业在工商行政管理部门登记的注册资金总额。该公式中资本金总额来源于资产负债表中的实收资本项目。

[例](续前例)某公司19××年度期末实收资本为100万元,依上式计算,该公司资本金利润率为:

资本金利润率=(200/200)×100%=200%

该公司资本金利润率高达200%,主要原因是实收资本比重低,该公司所有者权益总额为940万元,实收资本仅占1/9。在这种状况下,计算的资本金利润率仅是10.87%,在这种状况下计算的资本金利润率没有什么实际意义。

(2)资本金利润率分析。该指标是衡量企业获利能力的指标之一,这个指标是衡量投入资本利用效果大小和管理水平高低的综合指标。该指标越大,投资带来的经济效益越好。该指标越小或者是负数,企业效益就越差,资本有丧失的可能。如果该企业是举债经营的话则该指标的计算结果可能会出现虚高或者虚低的状况。

还应当指出的是,资本金利润率是现行财务制度中规定的一项反映盈利能力的比率,但用这个指标反映企业盈利能力,则存在一定的问题。

3销售利润率

(1)什么是销售利润率?销售利润率是指利润总额与销售收入的百分比,如利润总额为税后净利润,与销售收入之比则为销售净利润率。其计算公式为:

销售利润率=(利润额÷销售收入)×100%

由于利润总额中包括投资收益、营业外收入和营业外支出三个项目,而这三个项目和销售收入没有内在联系,对比结果不利于深入的分析。因此,当上述三个项目金额大到不容忽略的程度时,还应将其从利润总额中扣除。用营业利润和销售额对比,计算销售营业利润率来评价盈利能力。其计算公式为:

由于营业利润中包括了其他业务利润,而其他业务利润和销售收入也没有内在的联系,因此当其他业务利润大到不容忽视的程度时,应将其从营业利润中扣除,用主营业务利润和销售收入对比。这样能准确地表明销售收入(主营业务收入)和主营业务利润的关系。其计算公式为:

销售主营业务利润率=[(营业利润-其他业务利润)÷销售收入]×100%

(2)销售利润率分析。该指标反映每1元的销售收入所带来利润(净利润、营业利润、主营业务利润)的多少,表示销售收入的收益水平。从销售利润率的指标关系看,利润额与销售利润率成正比关系,而销售收入额与销售利润率成反比关系。企业在增加销售收入额的同时,必须相应地获得更多的销售利润,才能使销售利润率保持不变或者有所提高。通过分析销售利润率的升降变动,可以促使企业在扩大销售的同时,注意改进经营管理,提高盈利水平。

销售利润率可分解成为销售毛利率、销售税金率、销售成本率、销售期间费用率,可作进一步分析。其计算公式分别为:

销售毛利率

=[(销售收入-销售成本)÷销售收入]×100%

销售税金率

=(产品销售税金及附加÷销售收入)×100%

销售成本率

=(销售成本÷销售收入)×100%

销售期间费用率

=[(销售费用+管理费用+财务费用)]÷销售收入×100%

把销售利润分解之后,并通过本年度与上年度或本年计划之间进行比较,找出差距则可以作出更具体的分析和判断。

销售毛利率,表示每一元销售收入扣除销售产品或商品成本后,有多少钱可以用于各项期间费用和形成盈利。毛利率是企业销售利润率的最初基础,没有足够大的毛利率便不能盈利。

销售期间费用率,表示取得每一元销售收入需耗费多少期间费用。也就是说,当销售成本一定时,销售期间费用率越低,销售利润则越高。反之,销售期间费用率越高,则销售利润率越低。在分析期间费用升降原因时,要分析销售费用、管理费用和财务费用中各明细项目,特别是占比重大的明细项目与本年计划、与上年实际的差异,查明各因素对销售利润率的影响程度,以便采取控制费用增长的措施。应当注意,管理费用和财务费用是整个企业在这方面的支出,如果其他业务收入比较多,管理费用和财务费用与销售收入(主营业务收入)不能很好配合,在计算销售期间费用率时,应将其他业务收入应分摊的管理费用、财务费用扣除。

销售成本率,表示取得一元销售收入所耗费的成本是多少。当期间费用一定时,销售成本率越低,销售利润则越高;反之,销售成本率越高,则销售利润越低,通过对该项指标的分析,为降低成本提供有用的信息。

销售税金率,表示取得每一元销售收入应支付的价内流转税。除了国家税率调整外,在一般情况下,该比率是不变的。

4.成本费用利润率

(1)什么是成本费用利润率?成本费用利润率是指一定期间的利润与成本费用的对比关系。工业企业财务制度中规定其计算公式为:

成本费用利润率=(利润总额/成本费用总额)×100%

公式中的利润总额和成本费用总额来自企业的损益表。

由于利润总额中包括投资收益、营业外收入和营业外支出这三个项目,而这三个项目和成本费用没有内在的联系,对比结果不利于深入的分析。因此,可以将成本费用和营业利润相除,得出成本费用营业利润率,其计算公式为:

成本费用营业利润率=(营业利润÷成本费用)×100%

由于营业利润中包括了其他业务利润,而其他业务利润和成本费用也没有内在的联系,因此,也可以扣除其他业务利润,成为主营业务利润,这样能准确的表明成本费用和主营业务利润的关系,其计算公式为:

成本费用主营业务利润率=[(营业利润-其他业务利润)/成本费用]×100%

(2)成本费用利润率分析。该指标表明每付出一元成本费用,可以获得多少利润。它体现经营耗费所带来的经济效果。该项指标越高,利润就越大,反映经济效果好。通过该项指标与上年度和本年度计划对比分析,为查明成本费用升降的原因,制定控制成本费用措施,进而为增加盈利水平提供有用的信息。

5.净值报酬率

什么是净值报酬率?净值报酬率是利润总额与平均股东权益(所有者权益)的百分比。其计算公式为:

净值报酬率=(利润总额/平均股东权益)×100%

公式中的股东权益,是指股份制企业股东对企业净资产的权利。股份制企业的全部资产减全部负债后净资产属股东权益,包括股本、资本公积金、盈余公积金、公益金和未分配利润。平均股东权益则是指年初股东权益与年末股东权益的平均数。

该指标反映股东权益的收益水平,指标值越高,说明投资带来的收益越高。

6.反映盈利能力的补充分析指标

(1)流动资产周转率。流动资产周转率是销售收入与全部流动资产的平均余额的比值。其计算公式为:

流动资产周转率=销售收入/平均流动资产

公式中的平均流动资产为年初流动资产加年末流动资产除以2。

该指标反映流动资产的周转速度。周转速度快,会相对节约流动资产,等于相对扩大资产投入,增强企业盈利能力,而延缓周转速度,需要补充流动资产参加周转,形成资金浪费,降低企业盈利能力。

(2)资产总额周转率。资产总额周转率是资产平均总额与销售收入的比值。其计算公式为:

资产总额周转率=销售收入÷资产平均总额

公式中的平均资产总额为年初资产总额加年末资产总额除以2。

该项指标反映资产总额的周转速度,周转越快,反映销售能力越强。企业可以通过薄利多销的办法,加速资产的周转,带来利润绝对额的增加。

总之,各项资产的周转指标用于衡量企业运用资产赚取收入能力,经常和反映盈利能力的指标结合在一起使用,可以全面评价企业的盈利能力。

随便看

 

离鸟网收录3541549条中英文词条,其功能与新华字典、现代汉语词典、牛津高阶英汉词典等各类中英文词典类似,基本涵盖了全部常用中英文字词句的读音、释义及用法,是语言学习和写作的有利工具。

 

Copyright © 2004-2024 vtrois.com All Rights Reserved
更新时间:2026/4/9 11:29:06