网站首页  词典首页


请输入您要查询的字词:

 

字词 企业财务评价
类别 中英文字词句释义及详细解析
释义

企业财务评价


项目的财务评价是在掌握评价指标和计算、评价方法的基础上展开的。其基本内容是对项目的财务盈利能力、项目清偿能力和财务外汇效果进行评价和分析。评价的内容和相应的评价指标如表6.4.4-1所示。

表6.4.4-1

1.企业财务盈利能力的评价与分析

(1)财务盈利能力的静态分析

所谓静态分析,就是不考虑时间因素,即不考虑资金的时间价值来考察项目的微观盈利能力。其评价的主要指标和方法有:

①全部投资回收期

全部投资回收期也称全部投资返本期,它是反映项目财务上投资回收能力的重要指标。该指标是在假定全部投资均为自有资金前提下,以包括利润、折旧在内的项目净收益抵偿包括固定资产投资和流动资金在内的全部投资所需要的时间。投资回收期Pt是以年表示的。其表达式为:

式中:CI——现金流入量;

CO——现金流出量;

t——项目经济寿命期年序号

投资回收期可直接用全部现金流量表的累计净现金流量计算求得。其计算公式为:

应用项目投资回收期的评价方法是,首先,当项目的投资回收期Pt与行业的基准投资回收期Pe比较,当Pt≤Pe时,应认为该项目或方案在财务上是可以接爱的,否则不应接受。其次,在评价多方案时,一般以投资回收期最短的方案作为最优方案。

运用静态投资回收期进行财务评价,具有计算简便的优点,但没有反映资金的时间价值,没有考虑投资回收以后的收益状况,因而它是一个短期指标。例如一笔相同投资选择A、B两个项目,其寿命周期相等,投资回收期相等,单从短期看投资回收期指标,则这两个项目的效益相同,然而从长期的整个寿命期的净现金流量看,A项目比B项目要高出500万元,显然A项目的效益高于B项目。这表明,在选择方案或项目时,还必须将投资回收期和其他评价指标结合起来,通常,还需采用投资增殖期和投资增回比指标对项目(或方案)作进一步评价。

所谓投资增殖期,是指提供投资增殖的年限,其计算公式为:

投资增殖期=方案寿命期-投资回收期

所谓投资增回比,是投资增殖回收比的简称,是指投资增殖期与投资回收期之比,其计算公式为:

这两个指标在一定程度弥补了运用投资回收期指标进行评价的缺陷。运用这两个指标进行评价的条件和判别准则是:

当项目(或方案)寿命期一定条件下,投资回收期越短,投资增殖期越长的方案或项目,其投资效益就越高。

当两个项目(或方案)的寿命期不等时,采用投资增回比指标进行评价,其评价准则是:该比值越大,表明该方案(或项目)投资增殖的时间相对于投资回收的时间较长,投资效果较好;反之,比值较小,投资效果较差。

②投资利润率

投资利润率一般是指项目达产后的正常年份的年利润额与项目总投资的比率,对在生产期内各年的利润额变化幅度较大的项目,应计算在生产期的年均利润与总投资的比率,其计算公式为:

运用这个指标进行评价,首先要看其是否大于或等于行业投资的平均利率,如果大于或等于,则可考虑方案或项目可行;其次,投资利润率越大的方案,投资效果越好,为最优方案。但是,该指标没有考虑到项目寿命期间的现金流入、流出的时间因素,这对于各年收益不同的两个方案相比较,将是不合适的。一般地说,投资利润率指标适用于比较简单,且生产变化不大的项目的选择和评价。

(2)财务盈利能力的动态评价

所谓项目的动态分析,就是在分析、评价中考虑目的时间因素,资金的时间价值。通过折现法,将拟建项目整个经济寿命期间的资金流量,即现金流入、流出量和净现金流量折现为某一时点上的价值,使之较完整地反映拟建项目寿命期的现金流量。财务盈利能力动态评价的主要指标和方法有以下几种。

①财务内部收益率(FIRR)

财务内部收益率又叫预期收益率或内部报酬率。财务内部收益率本身也是一种折现率,但它是项目在整个寿命周期内各年净现金流量现值累计等于零时的折现率。其表达式为:

式中:CI——现金流入量;

CO——现金流入量;

(CI-CO)t——第t年的净现金流量;

n-计算期。

计算内部收益率,主要用以下两个方法;

a.试差法

试差法,就是选择几个不同的折现率,计算净现值(净现金流量现值累计),若净现值为正值,说明折现率偏低;如果是负数,则选择的折现率偏高,然后进行调整再选择,直到选择的折现率能使净现值等于零或几乎接近于零为止。这时的折现率即为项目的内部收益率。

b.插入法

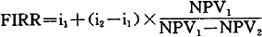
所谓插入法,是指在选择两个大小不同的折现率(两者差距不应超过2%,最大不得超过5%)试算项目累计净现值时,若得到正、负两个结果,表明待求的使累计净现值等于零的内部收益率就在这两个折现率之间。然后依据财务内部收益率与所选择的偏低折现率之间的差距与所选择的高、低两个折现率之间的差距之比,等于累计正净现值与累计净现值等于零之间的差距,与大小两个净现值之间的差距之比,来求取财务内部收益率的方法。用数学语言表达为:

由此得到内部收益率的计算公式:

式中:FIRR——财务内部收益率;

i1——试算时选择偏低的折现率;

i2——试算时选择偏高的折现率;

NPV1——偏低折现率计算得到的正净现值;

NPV2——偏高折现率计算得到的负净现值。

运用财务内部收益率进行项目经济评价时的准则是:当项目单方案评价时,项目内部收益率FIRR大于行业的基准收益率ie时,方案可行;当多方案评价时,FIRR最大的方案为最优方案,且其内部收益率也大于ie时,方案可取。

运用财务内部收益率进行财务评价,其优点是可以直接来测算一个投资项目的投资收益率,也可用于不同方案的排队比较。缺点是计算较烦琐。

②财务净现值(FNPV)

财务净现值是反映项目在整个经济寿命期内获利能力的动态评价指标。它是按行业的基准收益率或设定的理想折现率,将项目寿命期各年的净现金流量折现到建设起点的现值之和。其表达式为:

式中:FNPV——财务净现值;

(CI-CO)t——第t年的净现金流量;

ie——基准收益率或设定的折现率;

(1+ie)-t——第t年的折现系数;

n——项目经济寿命年限。

净现值可以通过财务现金流量表的净现金流量计算而得,其结果不外乎大于、等于或小于零三种情况。运用净现值进行评价的准则是:只要净现值大于或等于零的项目或方案均是可行的,但在选择方案时,应选择净现值大的方案,或者是按净现值的大小进行项目排队,对净现值大的项目予以优先考虑。

运用净现值指标和方法进行财务评价的优点是考虑了项目的整个寿命期内各年现金流量的时值;缺点是基准收益率不易确定,且净现值只说明了项目的收益率大于、小于或等于设定的收益率,却没有算出确切的收益率(等于除外)

③净现值率(FNPVR)

净现值率也叫净现值收益率。它是用相对数表示项目在经济寿命期内获利能力的动态评价指标,即项目净现值与全部投资现值之比。其数学表达的计算公式为;

FNPVR=FNPV/IP

式中:IP-项目总投资(包括固定资产投资和流动资金)的现值。

净现值率,实际上测定了单位投资现值的获利能力,即单位投资现值所获得的净现值大小。因而可作为净现值的一个补充指标。当评价、选择方案时,在各方案总投资额不相同的情况下,仅看项目的净现值,在一定程度上还缺乏可比性。因为一个投资项目获利能力的大小,不仅取决于净现值大小,更主要的要看单位投资现值所获得的净现值,即净现值率的高低,这样才更具有可比性。否则,有可能会得出片面的结论。例如,假设有A、B两个拟建项目,它们有关指标如表6.4.4-2所示。

表6.4.4-2 A、B项目有关经济指标

仅从净现值指标评价,B项目的净现值大于A项目,容易得出B优于A的片面结论,但从净现值率看,A项目高于B项目,说明A项目的获利能力大于B项目。所以在进行两个以上项目投资方案比选时,应取净现值率大的方案。当评价一个项目时,则净现值率大于或等于零时,项目才是可取的。

此外,财务评价的指标和方法还有动态投资回收期、差额投资动态回收期、年费用等。

2.项目清偿能力的评价与分析

项目清偿能力是指投资者偿还项目的固定资产投资借款本金及其利息的能力,一般用借款偿还期指标来衡量与评价。项目有否清偿能力是投资者能否获得银行贷款的重要依据。

项目投资所需资金来源,在1985年以前有财政拨款,国内银行贷款、自筹资金和引进外资等,从1985年起,原由国家预算安排的基建投资全部由财政拨款改为银行贷款,因而基建投资都有还款、还利,清偿债务的问题。

国家计委颁发的《建设项目经济评价方法》中规定:在财务评价中,凡国内借款,无论实际上是按季或按月计息的,一律简化为按年计息。我国现行财经制度规定,投资贷款分不同行业,实行差别利率,按复利计息。计息的规则是:当年借款,按半年计息;其后年份按全年计息;还款当年也按半年计息。各年付息计算公式如下:

复利计息的规则是,在企业投产前无偿还能力时,应将建设期所欠利息逐年作为贷款资金转入本金,到投产后一并偿还;投产初期未达到满负荷生产,如偿还能力不足付息的,应将欠息部分转入下年年初借款累计额。一般地说,基建贷款的期限,包括建设期和还款期,不应超过15年。

借款偿还期是评价项目偿还能力的重要指标。它是指在国家财政规定及项目具体财务条件下,项目投产后可用作还款的利润、折旧及其他收益额偿还固定资产投资借款本金和利息所需要的时间。其表达式为:

式中:Id——固定资产借款本金和利息之和;

Pd——借款偿还期(从建设开始年计算);

Rp——年利润额;

D′——年可用作还款的折旧;

R0——年可用作偿还借款的其他收益;

Rr-还款期间的年企业留利;

(Rp+D’+R0-Rr)t——第t年可用作还款的收益额。

借款偿还期的计算公式为:

项目或方案的借款偿还期越短,则其清偿能力越强,方案或项目的经济效果也就好,这是分析和评价项目或方案清偿能力的基本准则。

3.项目财务外汇效果的评价与分析

对那些涉及产品出口创汇及替代进口节汇的项目,还需进行外汇效果的评价与分析。其分析与评价的主要指标有:财务外汇净现值、财务换汇成本、财务节汇成本。

(1)财务外汇净现值

财务外汇净现值,是衡量项目在经济寿命期内创汇或用汇量多少的一个重要指标,它可以通过该项目的外汇流量表折现求得,其计算公式为:

式中:FNPVF——财务外汇净现值;

FI——外汇流入量;

FO——外汇流出量;

(FI-FO)t——第t年的净外汇流量;

i——折现率,一般取外汇贷款利率;

n——项目寿命年数,一般从建设年起算。

该指标直观地反映了项目对国家外汇的影响状况,指标数值为正,表明项目对外汇有净贡献;指标数值为负,表明项目对国家外汇有净消耗。前者数值越大则项目的财务外汇效果越佳,反之则情况相反。

(2)财务换汇及节汇成本

财务换汇成本是指项目每换取一美元外汇所需投入的人民币金额,其计算方法是将项目经济寿命期内生产出口产品所投入的国内资源现值与生产出口产品的外汇净现值之比。

对于那些进口替代的项目,则应计算财务节汇成本。所谓节汇成本,是指项目为国家每节约一美元外汇所需花费的人民币金额,其计算方法和财务换汇成本相似,即以项目在寿命期内生产替代进口产品的外汇净现值之比。

财务换汇(或节汇)成本的计算公式为:

式中:DRt——项目在第t年生产出口产品(或替代进口产品)

所投入国内资源(包括投资、原材料、工人费及其他投入)

拟建项目在寿命期内所投入的国内资源资料数据,可从“财务现金流量表”的“现金流出”中得到。

运用财务换汇(节汇)成本评价项目的外汇效果准则是:该两指标的数值越小,表明创汇或节汇所花的人民币越少,项目的外汇效果就越好。当然,这必须以节汇、换汇成本低于市场汇率为前提的,低于市场汇率的,则项目外汇效果是好的,反之则认为该项目的外汇效果是不理想、不可取的。

随便看

 

离鸟网收录3541549条中英文词条,其功能与新华字典、现代汉语词典、牛津高阶英汉词典等各类中英文词典类似,基本涵盖了全部常用中英文字词句的读音、释义及用法,是语言学习和写作的有利工具。

 

Copyright © 2004-2024 vtrois.com All Rights Reserved
更新时间:2026/4/8 16:05:38