网站首页  词典首页


请输入您要查询的字词:

 

字词 会计报表的比率分析
类别 中英文字词句释义及详细解析
释义

会计报表的比率分析


比率分析是以同一时期会计报表提供的相关数据进行互相比较,求出其比率,并对这一比率进行评价与分析,以透彻地反映企业的财务状况和经营状况。

我们仍以万通股份公司的会计报表为例进行比率分析。

一、流动比率分析

万通股份公司1994年会计报表数据(下述各比率同)所反映流动比率计算如下:

根据经验数据,此项比率偏低,偿债能力较弱。1991年该公司的流动率比为3.56,反映出企业偿债能力降低。诚如前述,由于各行业经营情况不同,对资产流动性的要求和偿债能力的要求也不同,所以各行业或各企业应有不同的衡量标准。下述比率亦如此。

二、速动比率分析

万通股份公司速动比率如下:

根据经验数据,此项比率较为合理,企业能迅速变现的资产比重较大。虽然流动比率差一些,但由于该企业货币资金和应收帐款所占资金达14152万元,所以速动比是令管理者满意的。1994年与1993年比,企业的速动资产增加达6922万元。

三、资产负债率分析

万通股份公司资产负债率如下:

对这一比率高低的好坏要进行具体分析。因为这一指标反映债权人的资金在企业的保障程度,对不同的债权人来讲,情况有所不同。总的来讲此项比率越低债权人资金得到的保障程度越高。但不同的债权人所关心的情况又有所不同。比如,融资借款人,他们注意的是贷款或借予款项的安全程度。如果所有者提供的资金与企业借入资金相比,只占较小比例,说明企业经营的风险主要由贷款人或借予款项人来承担。从万通股份公司的情况看,银行短期借款1440万元,但仅企业实收资本就达6000万元,贷款金额只占24%,该公司经营的风险还主要由投资人或所有者来承担。

但是,对企业的投资者来讲,他们除关心企业经营的风险程度外,还关心全部资金的利润率及其是否超过企业借款资金所获得的利润。如果企业资本金利润率超过企业支付的贷款利率(包括向其他融资借款人支付的利率),投资者获得的利润将增大。

仍以万通股份公司为例来说明。万通股份公司1994年利润总额1908万元,银行贷款1440万元,利率平均为8.19%,资本金6000万元,,全部资金为7440元,全部资金利润率为25.65%。银行贷款资金获利1440万×8.19%=117.94万元,投资者获利1908万-117.94万=1790.06万,资金利润率

由此看出,万通股份公司投资者的获利能力是可观的,大大超过贷款者。不仅如此,投资者还保持着对万通股份公司的控制权。所以投资者的利益是双重的。

但是,如果全部资金的利润率低于借款利率,对投资者是不利的。假如万通股份公司全部资金利润率为7%,利润额则为7440×7%=52.08-117.94=402.86万,投资报酬率只有,低于银贷获利能力。

四、应收帐款损失率分析

假定万通股份公司年度内产生坏帐损失50万元人民币,应收帐款损失率为:

此项比率应当越小越好。外贸企业应当加强出口应收外汇帐款的管理,减少对外理赔金额。对国内业务有关应收帐款也应加强管理,防止拖欠,将坏帐损失降低到最低限度。

五、存货周转比率分析

万通股份公司存货周转率如下:

万通股份公司存货周转率为33.18,即存货资金年度内周转了33.18次,存货的周转速度是快的。一般说来,外贸企业存货周转率较高,一是由于出口商品大多直接装运出口,较少堆放存储,在港口、码头、车站等的存放时间一般也不长。二是由于进口商品到港、到站后,大多由使用单位直接接货,在港口、码头、车站的存放时间(正常情况下)也不长。三是由于外贸企业进出口商品比较大宗,销售成本金额较大。当然,不同企业有不同企业的情况,进出口商品不同,存货周转率高低各不相同。如果存货周转率较低,要分析两个方面的原因,一是销货周期是否太长;二是进出口商品等是否有冷背、呆滞或国际国内市场不畅销产品以及是否存在大量残损、变质、质量不合乎国际市场要求的商品。

上述存货周转比率的倒数乘以365天即为存货平均周转天数。万通股份公司存货平均周转天数为:

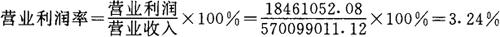
六、营业利润率分析

万通股份公司营业利润率如下:

营业利润率的高低因各行业和各企业的情况不同而不同。从万通股份公司的情况看,似有一些偏低。1993年该公司营业利润为6.09%,1994年比1993年下降了2.85%,主要因为营业成本升高2.89%所致。要进一步分析营业成本升高的具体原因。营业成本的升高直接造成该企业每百元营业收入获利能力的降低。

七、资本金利润率分析

万通股份公司的资本金利润率为:

万通股份公司的资本金利润率为31.79%,说明投资者投入企业100元资金,当年可获得31.79元利润。资本金利润率的高低,各企业情况各不相同。此项比率作为衡量企业经济效益的重要指标以及投资者投资决策的依据,其意义是十分重大的。它揭示了企业资本金的获利能力,是所有投资人最为关心的。当然,投资人投入的资本是否一定按资本金利润率的高低取得收入取决于企业经营的形式以及资本金的形式。如果是股份经营,其股份分红应由股东大会或董事会决定。尤其是我国社会主义市场经济情况下,国家股或国家资本金分红或取得资本金利润,应和所得税(目前还有“两金”)的解缴结合起来考虑,或采取其他慎重的、合理的方式,比如国家资本金或国家股应分的利润再返还企业作为投资等等。总之,资本金利润率是一项比较敏感的指标,企业一定要重视对此项指标的考核和分析。

随便看

 

离鸟网收录3541549条中英文词条,其功能与新华字典、现代汉语词典、牛津高阶英汉词典等各类中英文词典类似,基本涵盖了全部常用中英文字词句的读音、释义及用法,是语言学习和写作的有利工具。

 

Copyright © 2004-2024 vtrois.com All Rights Reserved
更新时间:2026/5/31 19:43:57