| 释义 |
保温材料的热导率
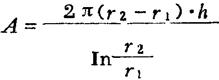
保温材料的热导率见表1-25。 表1-25 保温材料热导率表  保温材料的热导率计算公式如下。 平板: q=AK(t1-t2)/l 式中 q——传热量(kcal/h); A——传热面积(m2); K——热导率(kcal/mh℃); t1——高温侧的温度(℃); t2——低温侧的温度(℃); l——保温材料厚度(m)。 圆筒: 对圆筒形状保温时,4(m2)用下式:  I=r2-r1 式中 r1——保温材料内半径(m); r2——保温材料外半径(m); h——保温材料长度(m)。 |