傅里叶(Fourier)级数的定义

其中

称为f(x)的傅里叶级数.上式中an,bn称为傅里叶系数.
收敛定理(狄利克雷(Dirichlet)) 设f(x)是周期为2π的周期函数,如果它满足:
(1)在一个周期内连续,或只有有限个第Ⅰ类间断点.
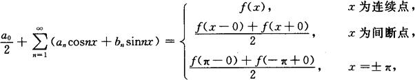
(2)在一个周期内至多只有有限个极值点,则f(x)的傅里叶级数收敛于

其中an,bn为f(x)的傅里叶系数.
正弦级数与余弦级数

称为正弦级数,其中

称为余弦级数,其中

周期为2l的周期函数的傅里叶级数
(1)
称为以2l为周期的f(x)的傅里叶级数,其中

(2)正弦级数与余弦级数

其中

称为正弦级数.

其中

称为余弦级数.