模具尺寸和树脂粘度对所需压力的影响表示如下:

式中:Q=充模的体积速度(厘米3/秒或时3/秒)
P=模具入口处的压力(公斤/厘米2或磅力/吋2)
η=树脂粘度(公斤力秒/厘米2或磅力秒/吋2)
K=模具流动阻力因数
对于填满端部浇口的矩形模腔断面

对于填满端部浇口的环形模腔断面

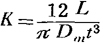
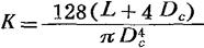
对于填满端部浇口的圆筒形模腔断面

式中:L=模腔长度(厘米或时)
W=模腔宽度(厘米或时)
t=模腔厚度(厘米或时)
Dm=环形模腔的平均直径(厘米或时)
Dc=圆筒形模腔的平均直径(厘米或时)。
由上述可见,在恒定的流动速度和树脂粘度下:
充模所需压力与模具长度成正比例;
充模所需压力与模腔宽度或直径成反比例;
充模所需压力与模具厚度的立方成反比例;
径向充模方式(即中心浇口)所需压力是指数关系。
所需压力与树脂粘度成比例,树脂粘度因温度和(或)剪切速度的增加而减小。

因此,剪切速度因模腔尺寸减小而增大,树脂粘度因模腔尺寸减小而降低(即模腔尺寸对模具流动阻力因数K有相反的影响)。