网站首页  词典首页


请输入您要查询的字词:

 

字词 光度学中的基本量和单位
类别 中英文字词句释义及详细解析
释义

光度学中的基本量和单位


光度学就是对可见光进行测量的科学。光度学中的参量,不是纯粹的物理量,因为人眼视觉是一个复杂的生理和心理过程,所以有些学者把光度学中的参量称为生理心理物理量。在国际单位制中,把光强度这个量的单位——坎德拉(cd),定为七个基本单位之一。

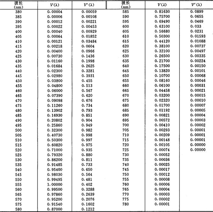
人类的视觉系统对波长不同的光敏感程度不同,即人眼对光的响应度是波长的函数,但每个人的视觉函数有个体差异,为了有一个统一的标准,国际照明委员会(CIE)于1942年在实验数据的基础上规定了一个标准的视觉函数,即表9.4-1中的V(λ),V(λ)称为明视觉的光谱光效率函数,适用于光亮度在几个尼特(cd/m2)以上,视网膜中的锥状细胞起作用,最大响应所对应的波长为555nm。表9.4-1中的V′(λ)是暗视觉的光谱光效率函数,适用于很低的亮度环境(在百分之几尼特以下),视网膜中的杆状细胞起作用,最大响应所对应的波长为507nm。曲线见图9.4-1。

图9.4-1 视觉函数曲线

表9.4-1 明视觉函数和暗视觉函数

光度学中的基本量是光通量,它表示用标准眼来评价光辐射时,能引起视觉产生明亮感觉的有效量是多少,用公式可表示为:

Φ=Km3∫λΦe,λV(λ)dλ (9.4-1)

式中Φ为光通量,其计量单位是流明(1m);Φe,λ为光谱辐射通量,单位为W/nm;V(λ)为明视觉光谱光效率;Km为最大光谱光效能,它表示在视觉最敏感的波长555nm上,每瓦光功率(即辐射通量)相当的流明数,Km是一个转换常数,过去曾被称为光功当量,它的数值是一个国际协议值,Km=683lm/W。

因为V(λ)定义在可见光谱区域以内,在可见光谱范围之外,V(λ)均为零值,因此不管光辐射功率有多大,对光通量的贡献均为零,式9.4-1只需在380nm至780nm的范围内积分。

光度学常用的参量和单位,如表9.4-2所示。光度计量的单位系统,由于历史和实用上的原因,以坎德拉(cd)作为基本单位,流明(1m)、勒克斯(1x)、尼特(cd/m2)等均为导出单位,由他们的定义可以推知:

表9.4-2 光度学中常用的量和单位

1lm=1cd·sr

1lx=1lm/m2=1cd·sr/m2

1nt=1cd/m2

【参考文献】:

[1]现代计量学概论,鲁绍曾主编,中国计量出版社,1987。

[2]现代计量测试技术,王江主编,中国计量出版社,1990。

[3]光度学,郝允祥等编着,北京师范大学出版社,1988。

[4]色度学,荆其诚等编着,科学出版社1979,。

[5]Principles Governing Photometry,Metrologia,19,97-101,1983.

[6]Accurate Measurement and Correction for Nonlinearities in Radiometers,J.Res.NBS,67A,1972.

随便看

 

离鸟网收录3541549条中英文词条,其功能与新华字典、现代汉语词典、牛津高阶英汉词典等各类中英文词典类似,基本涵盖了全部常用中英文字词句的读音、释义及用法,是语言学习和写作的有利工具。

 

Copyright © 2004-2024 vtrois.com All Rights Reserved
更新时间:2026/4/6 21:30:35