网站首页  词典首页


请输入您要查询的字词:

 

字词 光电探测器的分类及其特性参数
类别 中英文字词句释义及详细解析
释义

光电探测器的分类及其特性参数


凡是由光照射而产生电信号输出的光敏元件都可称为光电探测器,其主要作用在于对光的强弱进行探测。对输出的电信号进行测量和分析,就可推知光的强弱、光的频谱特性和光的空间特性。光电探测器可分为光热型和光电型两大类。光热型光电探测器的探测原理是:接收器表面吸收了光能量后转变为热能,引起接收面温度升高,温度的变化由热电偶、热电堆或热释电效应来探知,这方面的知识及其在计量中的应用见§9.3.3。

光电型探测器的探测原理就是光电效应,又分为内光电效应和外光电效应两类。内光电效应产生于半导体材料的内部,光引起材料电阻变化的称为光导型,因光照而产生电子和空穴载流子的称为光伏型。常用的光导型探测器有对可见光敏感的硫化镉,对红外线敏感的硫化铅、锑化铟、锑镉汞等。红外线探测器往往要工作在低温下,工作在-20℃至-30℃时,可用半导体致冷,工作在更低温度时,则要用液氦或液氮致冷。光伏型探测器最常用的有硒光电池、硅光电池、硅光电二极管(见§9.3.3),锗光电二极管等。

外光电效应是光子打到某些金属材料制成的阴极上时,材料内的自由电子获得能量克服约束力后离开金属表面,被带正电压的阳极吸引,在外电路上形成光电流。利用外光电效应制成器件的有真空光电管、充气光电管和光电倍增管等几种。充空光电管利用管内碰撞电离后产生更大的光电流,故灵敏度比真空光电管高,但响应的线性度较差。光电倍增管是在真空光电管的基础上发展起来的,内有几个至十几个打拿电极,可使从阴极射出的电子经过多次成倍的增加,相当于自身具备光电流的放大能力,故有极高的灵敏度。

无论哪一种光电探测器,都只在一定的光谱范围内有响应。内光电效应的器件,其光谱响应范围取决于材料本身及其结构(如材料的厚薄、PN结的深浅),外光电效应的器件则取决于阴极材料,如锑铯阴极的响应范围为300nm至650nm,银氧铯阴极的响应范围为300nm至1100nm。工作在紫外区的器件,必须具有能透紫外线的窗口。

用来描述光电探测器灵敏度特性的主要参量有:

(1)响应度

又称积分灵敏度或积分响应度,表示单位光辐射量所产生的电流(或电压或电阻变化量),即

式中 Φ为光辐射通量或光功率,I为输出电流或电压,故响应度R的单位为A/lm(安培/流明),或A/W(安培/瓦)等。通常光电流仅为毫安、微安量级,而光的功率为毫瓦、微瓦量级。只有大功率的激光功率计量时,才涉及到瓦级以上的光功率。

由于探测器的响应是波长的函数,故响应度与其接收到的光辐射的光谱成分有关。一般情况下,它是指A光源(即色温为2856K的钨灯)作为标准源时标定的结果。如果是用别的光源标定的结果则应特别注明。

(2)光谱响应度

即光电探测器在波长不同的光照射时的响应度。如果探测器对波长为λ的光辐射通量Φλ产生的光电流为I,则其光谱响应度为

单位为A/W。它与积分响应度R的关系为

显然,只有R(λ)不为零的光谱区才是探测器可利用的光谱区。

实际工作中往往只需要知道R(λ)随波长的相对变化,即

式中 λ0为某一选定的波长,一般选响应最大的那个波长;S(λ)称为相对光谱响应度,无量纲。

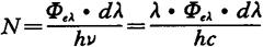
(3)量子效率

量子效率通常只对某一波长而言:

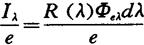
每秒产生的光电子数为:

式中 Iλ为探测器的输出电流;e为电子电荷;R(λ)为光谱响应度;Φ为波长λ处单位波长间隔内的光辐射功率;dλ为波长间隔。

每秒接收到的波长为λ的光量子数为:

式中 h为普朗克常数,v表示光辐射频率。由上两式可得

如果λ和Rλ分别用μm和A/W作单位,则有

用来描述光电探测器测量弱信号能力的表征量有以下几个:

(1)暗电流

当探测器没有接受到光辐射时所输出的电流。一般来讲,暗电流愈小,光探测器测量微弱光的能力愈强。

(2)噪声

探测器都存在噪声,这是一种杂乱无章、无规则的起伏,噪声输出信号对时间的平均值为零,但其均方根值却不为零,因此将这个信号的均方根值称为噪声信号。一般情况下,探测器不能有效地探测到低于噪声信号的光辐射,也就是说,噪声限制了探测器的灵敏度阀。在实际工作中,常以光辐射产生的输出信号S与噪声信号N之比来表征探测器的性能,称为信噪比。信噪比也可以用来说明一种测量的可信程度。

(3)噪声等效功率

如果探测器接受辐射功率后产生的电流(或电压)值正好与噪声产生的均方根电流值相等,则此辐射功率就称为噪声等效功率,常以NEP表示。由于NEP与带宽的平方根成正比,所以将其归化到1Hz带宽来评价,单位为W/Hz1/2,一般来讲,噪声等效功率也就是某种探测器能探测到的最低光功率。

(4)探测率

尽管NEP已基本上能表征探测器探测微弱辐射的能力,但其大小依赖于探测器接收面的面积A,为使评价探测器的优劣有一个统一的标准,引入探测率D*

其单位为cm·Hz1/2/W。多用于红外线探测元件的性能比较。

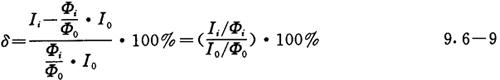
描述光电探测器输出与其接收到的光辐射之间的线性关系,可用线性度或非线性误差来表示。如果探测器的响应完全是线性的,当它分别接收到光辐射通量Φ0和Φi时,它的输出量I0与Ii应满足

或者说,其输出与输入之比(也就是响应度)应该是个常数。但实际上,当入射的光辐射通量变化范围较大时,就可能偏离线性响应。如果以第一次得到的电信号I0为准,那么改变光辐射通量后得到的电信号Ii与上式比较就存在一个差值,这个差值与线性理想值之比,可用来表征探测器接收的光辐射通量从Φ0变化到Φi时,探测器的非线性误差δ:

δ之值愈小,说明探测器的响应线性度愈好。

用来描述探测器时间特性的特征量是响应时间。当探测器接到光辐射时,它输出的电信号要经过一定时间才能上升到与该光辐射功率相对应的稳定值,当辐射消失时,探测器输出电信号也要经过一定时间才能下降到接收光辐射前的原有值。响应时间又称为时间常数或弛豫时间,用τ表示。响应时间在用探测器进行快速探测时是一个重要的特征量。有些探测器的上升时间相对地比较长,故有时用上升到一半或上升到75%的时间来表示,视具体情况而定。

探测器的温度特性通常用单位温度变化所导致其响应度、暗电流、噪声等特征量的变化率来描述,称为温度系数,即

式中 ΔT为温度变化量;Q为某一特征量;ΔQ为温度变化所导致特征量的变化量;RT为温度系数。

【参考文献】:

[1]现代计量学概论,鲁绍曾主编,中国计量出版社,1987。

[2]现代计量测试技术,王江主编,中国计量出版社,1990。

[3]光度学,郝允祥等编着,北京师范大学出版社,1988。

[4]色度学,荆其诚等编着,科学出版社1979,。

[5]Principles Governing Photometry,Metrologia,19,97-101,1983.

[6]Accurate Measurement and Correction for Nonlinearities in Radiometers,J.Res.NBS,67A,1972.

随便看

 

离鸟网收录3541549条中英文词条,其功能与新华字典、现代汉语词典、牛津高阶英汉词典等各类中英文词典类似,基本涵盖了全部常用中英文字词句的读音、释义及用法,是语言学习和写作的有利工具。

 

Copyright © 2004-2024 vtrois.com All Rights Reserved
更新时间:2026/5/30 16:51:06