网站首页  词典首页


请输入您要查询的字词:

 

字词 光电角度读数装置
类别 中英文字词句释义及详细解析
释义

光电角度读数装置


电子经纬仪的光电角度读数装置有编码度盘测角系统、光栅度盘测角系统、动态测角系统三种,现分别介绍如下。

1.编码度盘测角系统

编码度盘的每一个位置都可以读出度、分、秒的值。光学编码度盘(简称码盘)是以二进位制代码运算为基准的绝对值式的编码器,在度盘上刻有数道同心圆,等间隔地设置透光区域和不透光区域,由它们组成的分度圈称为码道。用透光和不透光两种状态代表二进制代码的“1”和“0”两个状态,里圈代表高位数,外圈代表低位数,如图18-61为4码道度盘,沿径向由里向外可读出4位二进制数,如图中顺时针方向依次可读出0000、0001、0010、…、1111,各区间的状态见表18-11。依据两区不同的状态,便可测出该区的夹角。

表18-11 电子度盘各区间的状态与编码

图18-61 编码度盘

读数系统原理如图18-62所示,在度盘半径方向的直线上,在每一码道设置两个接触片,一个为电源,另一个为输出。测角时,接触片固定,当度盘随照准部旋转到某个目标制动之后,接触片就和某一区间相接触,由于该区的导电或不导电,得到该区间的电信号状态。图中为1001,若照准部旋转到第二个目标,输出端状态为1101,则可知该角值为9~13区间的角度。

图18-62 读数系统

2.光栅度盘的测角系统

均匀地刻有许多等间隔狭缝的圆盘,称为光栅度盘。如图18-63所示,光栅的基本参数是刻线密度(每毫米的刻线条数)和栅距(相邻两栅之间的距离)。光栅的线条处为不透光区,缝隙处为透光区。在圆形光栅盘上下对应位置上装上照明器和光电接收管,将光栅的透光与不透光信号转变为电信号。当照明器和接收管随照准部相对于光栅盘移动,由计数器累计求得所移动的栅距数,即可求得所转动的角度值。该系统属于累计计数,通常称为增量式读数系统。

图18-63 光栅度盘

一般光栅的栅距已很小,例如,在80mm直径的度盘上刻有12500条刻线(刻线密度为50线/mm),光栅距的分划值为1′44″,显然仍不能满足测角要求,为了提高测角精度,还必须将其放大,再进行细分。在光栅测角系统中采用莫尔条纹技术来解决这个问题。产生莫尔条纹的方法是:取一小块与光栅盘具有相同密度和栅距的光栅,称为指示光栅,将指示光栅与光栅盘以微小的间距重叠起来,并使其刻线互成一微小的夹角θ,当光栅盘与指示光栅之间相对运动时,就会出现放大的明暗交替的条纹(栅距由d放大到W),如图18-64所示。

图18-64 光栅莫尔条纹

(1)光栅度盘静态测角原理

如图18-65所示,指示光栅和光栅读数头与照准部固连在一起,进行测角时,主光栅盘不动,照准部连同指示光栅和光栅读数头相对于主光栅移动。欲测OB与OA方向的夹角,开机后瞄准A目标,照准部开始旋转时,指示光栅相对于主光栅盘每移过一个栅距W,即转过一个栅角,光探器上就掠过一个莫尔条纹,输出一个正弦信号;经过整形电路形成一个计数脉冲,直到瞄准B目标为止,电子计数器累计出指示光栅相对于主光栅移过的整栅角数φ0的值,则该角度为φ=n·φ0+△φ,△φ为不足一个栅角的尾数,用电子细分的方法求得。

图18-65 指示光栅和光栅读数头

光栅动态测角系统如图18-66所示,度盘圆周经向刻有1024条刻线,刻线栅角为φ0=360°/1024。在光栅盘的外边缘对径处设置了一对与基座或支架固连的固定光栅LS。对水平盘来说,LS相当于零位置;对竖盘来说,LS相当于竖盘指标线。在光栅盘的内边缘处,设置了一对与照准部固连的活动光栅LR。LS和LR均由发光二极管和光控器组成。

图18-66 光栅动态测角系统

测角时,光栅盘由电动机驱动绕中心轴作匀速旋转,计取通过两个指标光栅间的分划信息通过粗测与精测而求得测角值。

1)粗测

即求出LS的莫尔条纹个数N。在度盘同一径向的外边缘上设有两个标记a和b,度盘旋转时,以标记a通过La时起,记数器开始记取整间隙φ0的莫尔条纹个数,当另一标记b通过LR时记数器停止记数,此时记数器所得到的数值即为φ0的莫尔条纹个数N。

2)精测

测角精度取决于精测的精度。精测即求出不满一个φ0的尾值△φ,通过光栅LS和LR产生两个信号S和R,△φ可由S和R的相位差求得。精测开始后,当某一分划通过LS时开始精测计数,计取通过的计数脉冲个数,一个脉冲代表一定的角度值(如2″),而另一个分划通过LR时停止计数。由计数器累计的数值求得△φ的值,度盘旋转一周可测得1024个△φ,然后取其平均值作为最终的△φ值,最后求得角值:φ=Nφ0+△φ

(2)电子细分方法

在利用光栅度盘测角时,要使最小读数达到1″或0.1″,这就意味着要在度盘的圆周上刻划百万根甚至千万根条纹线,而在目前工艺上,这是极其困难的,甚至是不可能实现的。为了达到测角所需要的精度,且满足工艺上可能、经济上合理的要求,常采用电子细分技术。常用的电子细分方法有直接细分法、幅值分割细分法、移相细分法及调制细分法四种。这几种细分法可单独使用,也可将两种方法组合使用。电子经纬仪中常用直接细分法和调制细分法,现介绍如下。

1)四倍频直接细分法

在相当于度盘正弦光迹缝隙或莫尔条纹的一个周期内,彼此相隔90°相角(即四分之一周期)设置4个条形光探测器,如图18-67所示。由于每个光探测器所对应的光迹或莫尔条纹的位置不同,受光的面积也不同,故输出的信号大小也不同。设与第一只光探测器中心相对的正弦光迹的起始相位为0°,则4个光探测器中的电信号分别为:

图18-67 四倍频直接细分法

(a)正弦光迹与条形光二极管;(b)内插所用光电流

为了消除直流分量U0和放大所得到的4个信号,可以利用差分放大电路来实现。通过图18-68所示的网路,可得到如下4个信号:

图18-68 差分放大电路

通过零鉴别器将4个交变信号整形为方波信号,该方波信号一方面经微分输出尖脉冲用于细分计数,另一方面用作正逆转向时的判向信号。

在一周期内正弦信号有4个过零点,可形成4个计数脉冲。即每通过一个正弦光迹或莫尔条纹可记录4个脉冲,故称四频倍。在该法中,光电信号经整形后直接产生计数脉冲,中间不再提取测微信息,故称为直接细分法,总称四倍频直接细分法。

2)调制细分法

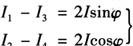
直接细分法由于细分数少,只适用于中等精度的电子经纬仪。当要求测角最小分辨率达到1″或0.1″时,通常采用细分数可达1000的调制细分法。和直接细分法相似,调制细分法也是在正弦光迹缝隙或莫尔条纹的一个周期内,彼此相隔90°相角设置4个条形光探测器,如图18-68所示。由于各探测器相对正弦光迹或莫尔条纹的位置不同,受光的面积不同,产生的电流也不同。设第一只光探测器中线相对于正弦波的起时相位为φ,则各光探测器输出的电流为:

通过差分电路消去直流分量I0,则得:

当照明光迹缝隙的光源以交流电馈电时,则I为时间t的函数,即:

I=I(t)=Isinωt

于是上一公式组现可写成:

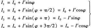
(I1-I3)=2Isinφsinωt

(I2-I4)=2Icosφsinωt

将(I1-I3)相对于(I2-I4)移相90°,则有:

(I1-I3)=2Isinφcosωt

通过运算放大器将两信号(I1-I3)与(I2-I4)合成,则得合成信号It为:

It=2Isin(ωt+φ)

这样就把角位置的相位φ变成时间信号It的相位了。将此信号与调制信号Isinωt在检相器中比相,用填充计数脉冲法即可求得φ的大小,该过程可借用仪器中的相位计来完成。当相位计具有0.36°的分辨率时,细分数可达1000。

随便看

 

离鸟网收录3541549条中英文词条,其功能与新华字典、现代汉语词典、牛津高阶英汉词典等各类中英文词典类似,基本涵盖了全部常用中英文字词句的读音、释义及用法,是语言学习和写作的有利工具。

 

Copyright © 2004-2024 vtrois.com All Rights Reserved
更新时间:2026/4/7 6:13:43