网站首页  词典首页


请输入您要查询的字词:

 

字词 光稳定剂
类别 中英文字词句释义及详细解析
释义

光稳定剂


【释文】:

太阳光与塑料的光老化

太阳光对塑料等高分子材料的老化作用主要起因于其所含的紫外光。发自太阳的电磁波谱是非常宽的,波长范围从200纳米以下,一直延续到10000纳米以上。但在通过空间和高空大气层(特别是臭氧层)时,290纳米以下和3000纳米以上的射线几乎全部被滤除,实际到达地面的太阳波谱为290~3000纳米,其中大部分为可见光(约40%,波长范围为400~800纳米)和红外光(约55%,波长范围为800~3000纳米)。290~400纳米的紫外光仅占5%左右,然而,正是这为数不多的紫外辐射却对聚合物有着巨大的破坏作用,成为现在聚合物光稳定化中的主要课题。

根据光量子理论,一摩尔波长为λ的光量子所具有的能量为:

E(千卡/摩尔)=2.8589×104/λ(纳米)

由上式可知,波长愈短,能量愈大。350纳米波长的光子能量约为81.4千卡/摩尔,300纳米波长的光子能量约为95千卡/摩尔,而大部分聚合物的自动氧化反应活化能为10~40千卡/摩尔,各种化学键的离解能为40~100千卡/摩尔。因此,到达地面的太阳光中所含的紫外线能量足以破坏聚合物的化学键,引发自动氧化反应,造成老化降解。对于大多数塑料来说,最易造成破坏的敏感波长(塑料对其吸收最大)都在290~400纳米之间(见表3-1),这正是地面阳光中所含的紫外光区域,故光老化问题愈显重要。

表3-1 各种塑料的敏感波长

应当指出,到达地面的紫外光一部分来自于太阳的直接辐射,还有一部分是由大气层散射而来,一般,在中午时两种成分的紫外光大致相等,但在早上和下午散射光的量显着增大。因此,曝露于室外不直接经受太阳光照射的塑料制品,并不意味着没有遭受紫外光破坏的可能。这是在设计防护配方时应该考虑到的一点。

光老化机理

聚合物的光老化是紫外光和氧参与下的一系列复杂反应的结果,因此,这一过程又被称为光氧化或氧化光降解。由于聚合物材料的分子结构和化学行为极不相同,光氧化的机理和对它们的危害程度也各有所异,但就大多数聚合物而言,光氧化过程存在着一些普遍规律,一般认为它们是一个由光能引发的自动氧化过程。现以P-H代表聚合物,可将光氧化历程示意如下:

引发反应

和热自动氧化反应一样(见抗氧剂一章),在光氧化过程中,也伴有聚合物链的断裂和交联,致使其物理力学性能发生恶变,同时,含羰基分解产物和发色团的形成又加深了其颜色的变化。

光稳定剂的定义和使用条件

添加于塑料或其它材料中,能够抑制或减弱光降解作用,提高材料耐光性的物质称为光稳定剂。由于现在所使用的大多数光稳定剂都是能够吸收紫外光的物质,故习惯上常将它们称为紫外线吸收剂。

理想的光稳定剂应具备如下使用条件:

1.能够有效地消除或削弱紫外光对聚合物的破坏作用,而对聚合物的其它性能没有影响。

2.光稳定剂本身具有优良的光稳定性,不被光能所破坏。

3.与聚合物有良好的相容性,不挥发,不迁移,不被水和溶剂抽出。

4.对可见光的吸收低,不着色,不变色。

5.热稳定性和化学稳定性好,在加工时稳定,不影响聚合物的加工性能。

6.无毒。

7.价格便宜。

光稳定剂的分类

光稳定剂可从不同的角度予以分类,现在常用的方法是按照化学结构分类和按照作用机理分类。

1.按照化学结构分类

根据光稳定剂的化学结构可将其分为如下几类:

(1)水杨酸酯类

(2)二苯甲酮类

(3)苯并三唑类

(4)三嗪类

(5)取代丙烯腈类

(6)草酰胺类

(7)有机镍络合物类

(8)受阻胺类

(9)其它

2.按照作用机理分类

根据光稳定剂的作用机理,可将其分为如下四类:

(1)光屏蔽剂

(2)紫外线吸收剂

(3)猝灭剂

(4)自由基捕获剂

形象地说,这四种稳定作用方式就好象构成了光稳定化中层次逐渐深入的四道防线,每一道防线都可抑制紫外线的破坏作用,但在设计防护配方时,具体选用哪类稳定剂为宜,抑或设置一道防线还是多道防线,应视制品的要求和使用环境而定。

应该明确,以上按照作用机理的分类只是一个大致的区分。事实上,光稳定机理非常复杂,许多问题至今仍未弄清,而且同一种化合物往往可以多种方式发挥光稳定效用。

除上述两种分类方法外,按照光稳定剂能否与聚合物反应键合,还可将其分为反应型光稳定剂和非反应型光稳定剂。反应型光稳定剂又可称“永久性”光稳定剂,它们一般都含有双键,可作为单体与树脂单体共聚,或与聚合物接枝,成为聚合物结构的一个组成部分,这样就可以克服一般非反应型光稳定剂易迁移、挥发和抽出的缺点,显示永久性的光稳定效果。

光稳定剂的作用机理

1.光屏蔽剂

光屏蔽剂又称遮光剂,是一类能够吸收或反射紫外光的物质,它们的存在犹如在聚合物和光辐射之间设立了一道屏障,使光不能直射到聚合物内部,从而有效地抑制光老化。具有这种功能的物质主要是一些无机填料和颜料,如炭黑,二氧化钛、氧化锌等。

利用遮光剂把有害的紫外光与聚合物隔绝开,达到防患于未然的目的,是一个非常行之有效的防护措施,它构成了光稳定化中的第一道防线。这类材料大都来源广泛,价格低廉。遗憾的是它们的着色性大大限制了其应用,只能用于着色制品,不适用于透明制品。

2.紫外线吸收剂

这类稳定剂是现在光稳定剂的主体,它能够强烈地吸收紫外光,并将其能量转变成无害的热能形式放出,这构成了光稳定化中的第二道防线。具有这种作用的物质有许多,按其化学结构可分为如下几类。

(1)水杨酸酯类

水杨酸酯类紫外线吸收剂的基本结构是:

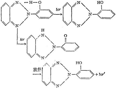
水杨酸酯类是应用最早的一类紫外线吸收剂,最初多用于纤维素塑料。它可以吸收紫外光,通过形成烯醇式互变异构体将能量消除。只是这类稳定剂本身吸收紫外光的能力很低,而且吸收的波长范围较窄(小于340纳米)。但在吸收了一定光能后,水杨酸酯类可发生分子重排,形成吸收紫外线能力强的二苯甲酮结构,从而产生较强的光稳定效果。因此这类稳定剂又被称为先驱型紫外线吸收剂。

水杨酸酯类紫外线吸收剂与树脂有良好的相容性,原料易得,生产工艺较简单,价格低廉。其缺点是重排形成的二羟基二苯甲酮结构除具有吸收紫外光的能力外,还可吸收一部分可见光,使制品有变黄的倾向。

(2)二苯甲酮类

这是现在产量最大,应用最广泛的一类紫外线吸收剂,其通式是

这类稳定剂的吸收波长范围宽广,在整个紫外光区域内几乎都有较强的吸收作用。它的光稳定机理一般认为是基于其结构中所存在的分子内氢键,由苯环上的羟基氢和羰基氧之间形成的分子内氢键构成一个螯合环,当稳定剂吸收紫外光能量后,分子发生热振动,氢键破裂,螯合环打开,这样就把有害的紫外光能变成无害的热能放出。此外,二苯甲酮类吸收了紫外光后,除氢键被破坏外,还可发生互变异构作用,生成烯醇式结构,这也是消散能量的一个途径。

在这类紫外线吸收剂中,分子内氢键的强度与光稳定效果直接相关。氢键愈强,破坏它所需要的能量就愈大,吸收的紫外光能量也愈多,稳定效果则高。另外,它们的稳定效果还与其苯环上的烷氧基链长短有关,烷氧基链长,与树脂的相容性好,稳定效果则大。

二苯甲酮类紫外线吸收剂中,有含一个邻位羟基的品种,也有含两个邻位羟基的品种,前者可吸收290~380纳米的紫外光,几乎不吸收可见光,不着色,适用于浅色或透明制品;后者吸收的波长偏向长波部分,除吸收300~400纳米的紫外光外,还吸收一部分可见光,因而制品显黄色,与聚合物的相容性后者也不及前者。

(3)苯并三唑类

苯并三唑类紫外线吸收剂为瑞士Ciba-Geigy公司首创,稳定效能高。问世以来,发展速度很快,在现在的商品光稳定剂中,其品种和数量仅次于二苯甲酮类。该类吸收剂的基本结构如下:

以上两种结构式无本质区别,可通用,本书采用前者。

苯并三唑类对紫外光的吸收区域宽,可有效地吸收300~400纳米的紫外光,而对400纳米以上的可见光几乎不吸收,因此无着色之弊。该类稳定剂的作用机理与二苯甲酮类相似,其结构中也存在着分子内氢键螯合环(由羟基氢与三唑基上的氮所形成),当吸收了紫外光后,氢键破裂或形成光互变异构体,把有害的紫外光能转变成无害的热能。

除以上三类紫外线吸收剂外,见于商品的还有取代丙烯腈类和三嗪类紫外线吸收剂。前者能够有效地吸收290~320纳米的紫外光,不吸收可见光,无变黄着色之虞,后者可强烈地吸收300~400纳米的紫外线。有关它们的作用机理虽经研究,但都无定论。

3.猝灭剂

猝灭剂又可称作淬灭剂或减活剂,可直观地理解为是光稳定化作用的第三道防线,即未被遮蔽或吸收的紫外光,当被聚合物吸收,使聚合物处于不稳定的“激发状态”时,为了防止其进一步分解产生活性自由基,猝灭剂能够从受激聚合物分子上将激发能消除.使之返回到低能状态。猝灭剂转移能量的方式有以下两种。

(1)猝灭剂接受激发聚合物分子的能量后,本身成为非反应性的激发态,然后再将能量以无害的形式消散:

A*(聚合物)+Q(猝灭剂)→A+Q*﹏→Q

(2)猝灭剂与受激聚合物分子形成一种激发态络合物,再通过光物理过程消散能量:

A*(聚合物)+Q(猝灭剂)→〔A…Q〕→

光物理过程(如发射燐光,能量的内部转换等)

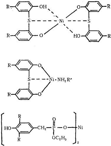
猝灭剂本身对紫外线的吸收能力很小,只有二苯甲酮类的1/10~1/20。已工业生产的猝灭剂主要是金属络合物,特别是具有如下结构的二价镍络合物:

这类光稳定剂对聚烯烃有突出的稳定效果,多用于薄膜和纤维。它们在溶剂中的溶解性极小,用于纤维时耐洗性优良,并兼有助染剂之功能。但镍络合物具有绿色,有使制品着色的不足,又因它们大都含有硫原子,高温加工时有变色倾向,因此不适用于透明制品。这类光稳定剂多与二苯甲酮类、苯并三唑类等紫外线吸收剂并用,有良好的协同效应。

4.自由基捕获剂

这类光稳定剂自七十年代初期由日本三共公司首创以来,受到普遍的重视。从化学结构上看,它们可视为是有空间阻碍的哌啶衍生物,故亦可称为受阻哌啶或简称受阻胺。

受阻胺类光稳定剂特别适用于聚烯烃、聚苯乙烯、聚氨酯等塑料,其稳定效能比紫外线吸收剂高数倍。关于它们的作用机理目前尚未确定,据一般推测,可能是通过多种方式发挥作用,其中捕获自由基是一主要功能,将其归类为自由基捕获剂也正是出自此理由。这一功能可直观地理解为是光稳定化的第四道防线,即一旦聚合物吸收了紫外光并分解产生出导致自动氧化反应的活性自由基后,为了阻止链式氧化反应蔓延下去,捕获剂将活性自由基抓获,使其成为稳定的分子化合物。在这一过程中,受阻胺是以稳定的氮氧自由基形式发挥作用:

从现在的研究结果来看,受阻胺不仅具有捕获自由基的功能,还有分解氢过氧化物、猝灭单线态氧、猝灭生色团等多种功能,至于各种作用在光稳定过程中的贡献还是值得今后研究的课题。

随便看

 

离鸟网收录3541549条中英文词条,其功能与新华字典、现代汉语词典、牛津高阶英汉词典等各类中英文词典类似,基本涵盖了全部常用中英文字词句的读音、释义及用法,是语言学习和写作的有利工具。

 

Copyright © 2004-2024 vtrois.com All Rights Reserved
更新时间:2026/4/9 10:35:14