网站首页  词典首页


请输入您要查询的字词:

 

字词 光稳定剂的作用机理
类别 中英文字词句释义及详细解析
释义

光稳定剂的作用机理


【释文】:

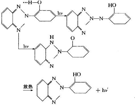
1.光老化机理

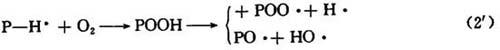
聚合物的光老化是紫外光和氧参与下的一系列复杂反应的结果,因此,这一过程又被称为光氧化或氧化光降解。由于聚合物材料的分子结构和化学行为极不相同,光氧化的机理和对它们的危害程度也各有所异,但就大多数聚合物而言,光氧化过程存在着一些普遍规律,一般认为它们是一个由光能引发的自动氧化过程。现以P-H代表聚合物,可将光氧化历程示意如下:

引发反应

增长反应

终止反应

和热自动氧化反应一样(见抗氧剂一章),在光氧化过程中,也伴有聚合物链的断裂和交联,致使其物理力学性能发生恶变,同时,含羰基分解产物和发色团的形成又加深了其颜色的变化。

2.光稳定剂的作用机理

下面分类介绍各种光稳定剂的作用机理。

(1)光屏蔽剂

不屏蔽剂又称遮光剂,是一类能够吸收或反射紫外光的物质,它们的存在犹如在聚合物和光辐射之间设立了一道屏障,使光不能直射到聚合内部,从而有效地抑制光老化。具有这种功能的物质主要是一些无机物填料和颜料,如炭黑、二氧化钛、氧化锌等。

利用遮光剂把有害的紫外光与聚合物隔绝开,达到防患于未然的目的,是一个非常行之有效的防护措施,它构成了光稳定化中的第一道防线。这类材料大都来源广泛,价格低廉。遗憾的是它们的着色性大大限制了其应用,只能用于着色制品,不适用于透明制品。

(2)紫外线吸收剂

这类稳定剂是现在光稳定剂的主体,它能够强烈地吸收紫外光,并将其能量转变成无害的热能形式放出,这构成了光稳定化中的第二道防线。具有这种作用的物质有许多,按其化学结构可分为如下几类。

① 水杨酸酯类

水杨酸酯类紫外线吸收剂的基本结构是:

水杨酸酯类是应用是早的一类紫外线吸收剂,最初多用于纤维素塑料。它可以吸收紫外光,通过形成烯醇式互变异构体将能量消除。只是这类稳定剂本身吸收紫外光的能力很低,而且吸收的波长范围较窄(小于340nm)。但在吸收了一定光能后,水杨酸酯类可发生分子重排,形成吸收紫外线能力强的二苯甲酮结构,从而产生较强的光稳定效果。因此,这类稳定剂又被称为先驱型紫外线吸收剂。

水杨酸酯类紫外线吸收剂与树脂有良好的相容性,原料易得,生产工艺较简单,价格低廉。其缺点是重排形成的二羟基二苯甲酮结构除具有吸收紫外光的能力外,还可吸收一部分可见光,使制品有变黄的倾向。

② 二苯甲酮类

这是现在产量最大、应用最广泛的一类紫外线吸收剂,其通式是:

这类稳定剂的吸收波长范围宽广,在整个紫外光区域内几乎都有较强的吸收作用。它的光稳定机理一般认为是基于其结构中所存在的分子内氢键,由苯环上的羟基氢和羰基氧之间形成的分子内氢键构成一个螯合环,当稳定剂吸收紫外光能量后,分子发生热振动,氢键破裂,螯合环打开,这样,就把有害的紫外光能变成无害的热能放出。此外,二苯甲酮类吸收了紫外光后,除氢键被破坏外,还可发生互变异构作用,生成烯醇式结构,这也是消散能量的一个途径。

在这类紫外线吸收剂中,分子内氢键的强度与光稳定效果直接相关。氢键愈强,破坏它所需要的能量就愈大,吸收的紫外光能量也愈多,稳定效果就高。另外,它们的稳定效果还与其苯环上的烷氧基链长短有关,烷氧基链长,与树脂的相容性好,稳定效果则大。

二苯甲酮类紫外线吸收剂中,有含一个邻位羟基的品种,也有含两个邻位羟基的品种,前者可吸收290~380nm的紫外光,几乎不吸收可见光,不着色,适用于浅色或透明制品;后者吸收的波长偏向长波部分,除吸收300~400nm的紫外光外,还吸收一部分可见光,因而制品显黄色,与聚合物的相容性后者也不及前者。

③ 苯并三唑类

苯并三唑类紫外线吸收剂为瑞士Ciba—Geigy公司首创,稳定效能高。问世以来,发展速度很快,在现在的商品光稳定剂中,其品种和数量仅次于二苯甲酮类。该类吸收剂的基本结构如下:

以上两种结构式无本质区别,可通用,本书采用前者。

苯并三唑类对紫外光的吸收区域宽,可有效地吸收300~400nm的紫外光,而对400nm以上的可见光几乎不吸收,因此无着色之弊。该类稳定剂的作用机理与二苯甲酮类相似,其结构中也存在着分子氢键螯合环(由羟基氢与三唑基上的氮所形成),当吸收了紫外光后,氢键破裂或形成光互变异构体,把有害的紫外光能转变为无害的热能。

除以上三类紫外线吸收剂外,见于商品的还有取代丙烯腈类和三嗪类紫外线吸收剂。前者能够有效地吸收290~320nm的紫外光,不吸收可见光,无变黄着色之虞,后者可强烈地吸收300~400nm的紫外线。有关它们的作用机理虽经研究,但都无定论。

(3)猝灭剂

猝灭剂又可称作淬灭剂或减活剂,可直观地理解为是光稳定化作用的第三道防线,即未被遮蔽或吸收的紫外光,当被聚合物吸收,使聚合物处于不稳定的“激发状态”时,为了防止其进一步分解产生活性自由基,猝灭剂能够从受激聚合物分子上将激发能消除,使之返回到低能状态。猝灭剂转移能量的方式有以下两种:

①猝灭剂接受激发聚合物分子的能量后,本身成为非反应性的激发态,然后再将能量以无害的形式消散:

②猝灭剂与受激聚合物分子形成一种激发态络合物,再通过光物理过程消散能量:

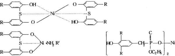
猝灭剂本身对紫外线的吸收能力很小,只有二苯甲酮类的1/10~1/20。已工业生产的猝灭剂主要是金属络合物,特别是具有如下结构的二价镍络合物:

这类光稳定剂对聚烯烃有突出的稳定效果,多于薄膜和纤维。它们在溶剂中的溶解性极小,用于纤维时耐洗性优良,并兼有助染剂之功能。但镍络合物具有绿色,有使制品着色之弊,又因它们大都含有硫原子,高温加工时有变色倾向,因此不适用于透明制品。这类光稳定剂多与二苯甲酮类、苯并三唑类等紫外线吸收剂并用,有良好的协同效应。

(4)自由基捕获剂

这类光稳定剂自70年代初期由日本三共公司首创以来,受到普遍的重视。从化学结构上看,它们可视为是有空间阻碍的哌啶衍生物,故亦可称为受阻哌啶或简称受阻胺。

受阻胺类光稳定剂特别适用于聚烯烃、聚苯乙烯、聚氨酯等塑料,其稳定效能比紫外线吸收剂高数倍。关于它们的作用机理目前尚未确定,据一般推测,可能是通过多种方式发挥作用,其中捕获自由基是一主要功能,将其归类为自由基捕获剂也正是出自此理由。这一功能可直观地理解为是光稳定化的第四道防线,即一旦聚合物吸收了紫外光并分解产生出导致自动氧化反应的活性自由基后,为了阻止链式氧化反应蔓延下去,捕获剂将活性自由基抓获,使其成为稳定的分子化合物。在这一过程中,受阻胺是以稳定的氮氧自由基形式发挥作用:

>NH(哌啶化合物)N—O·

>N—O·+R·(活性自由基)→>N—OR

>N-OR+ROO·→N-O·+ROOR从现在的研究结果来看,受阻胺不仅具有捕获自由基的功能,还有分解氢过氧化物、猝灭单线态氧、猝灭生色团等多种功能,至于各种作用在光稳定过程中的贡献还是值得今后研究的课题。

随便看

 

离鸟网收录3541549条中英文词条,其功能与新华字典、现代汉语词典、牛津高阶英汉词典等各类中英文词典类似,基本涵盖了全部常用中英文字词句的读音、释义及用法,是语言学习和写作的有利工具。

 

Copyright © 2004-2024 vtrois.com All Rights Reserved
更新时间:2026/5/25 22:14:13