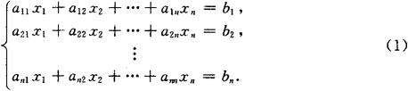
克拉默(Cramer)法则 含有n个未知量x1,x2,…,xn,n个线性方程的方程组

当其系数行列式不等于零,即

时,则方程组(1)有惟一解,且其解为

其中Dj(j=1,2,…,n)是把系数行列式D中第j列的元素用方程组右端的自由项代替后所得到的n阶行列式,即

定理 若线性方程组(1)无解或有两个以上不同的解,则它们的系数行列式必为零,即D=0(克拉默法则的逆否定理).
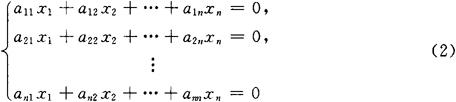
推论1 方程组(1)对应的齐次线性方程组

必有零解,即x1=x2=…=xn=0必是方程组(2)的解.若其系数行列式D≠0,则齐次线性方程组没有非零解(只有零解).
推论2 齐次线性方程组(2)有非零解,则它的系数行列式必等于零.
注 推论1和2说明行列式D≠0是线性齐次方程组只有零解的充分条件,其实也是必要条件.行列式D=0是齐次方程组有非零解的必要条件,其实这个条件也是充分的(见第4章).