在一定的资源条件下,当存在公共物品时,社会达到帕累托最优状态的条件。
这个条件就是所有消费公共物品的人对公共物品与私人物品间的边际替代率加总等于公共物品与私人物品间的边际转换率,即:

式中,x代表私人物品,y代表公共物品,
表示消费者i的边际替代率,MRTyx表示边际转换率。现以两人(A和B)情况证明这个条件。
这时的优化问题可表述如下:
max UA=UA(xA,y)
s.t.UB(xB,y)=U0
T(x,y)=0
xA+xB=x
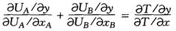
其中,U为效用函数,T(x,y)=0是转换函数,x表示私人物品消费量。建立拉格朗日函数后的一阶最优化条件是:

或
之所以公共物品的效率条件不同于私人物品,就是因为公共物品的消费具有不可分割性,这样当公共物品的边际意愿需求总和等于其边际供给时,达到帕累托效率。但由于公共物品的非排它性和非竞争性,单纯依靠竞争的市场经济将达不到帕累托效率条件,只能导致生产不足或消费不足。
〖参〗私人物品的帕累托效率条件
帕累托条件
帕累托最优