网站首页  词典首页


请输入您要查询的字词:

 

字词 其它分布
类别 中英文字词句释义及详细解析
释义

其它分布


1.均匀分布U〔-Δ,Δ〕

在某一范围〔-Δ,Δ〕内,误差各处出现的概率相同,即其密度

=0,其它

其期望与标准差

E=0

舍入误差,量化误差等常用此分布。

2.反正弦分布

ξ服从反正弦分布,指其密度

图2.2-8 U[-△,△]均匀分布

其期望与标准差

E=0

均匀分布U〔0,2π〕的正弦变换,服从反正弦分布。度盘偏心引起的误差用此分布。

图2.2-9 反正弦分布

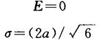
3.三角分布

两独立同均匀分布U〔-a,a〕之和为三角分布,其密度

其期望与标准差

图2.2-10 三角分布

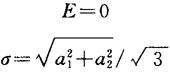
4.梯形分布

两独立均匀分布U〔-a1,a1〕,U〔-a2,a2〕,(a2>a1)之和为梯形分布,其密度

其期望与标准差

图2.2-11 梯形分布

5.投影分布

若α~U〔0,A〕,称

δ=1-cosα

服从投影分布,其密度

=0 ,其它

引入δ的极限值Δ=1-cosA≈A2/2,则投影分布的期望与标准差

E==Δ/3

σ=3Δ/10

当仪器量具未安装调整至理想的水平或垂直等位置,则有投影分布误差。如基准尺与被检尺未调整至互相平行,则有此种误差

图2.2-12 投影分布

【参考文献】:

[1]王立吉,计量学基础,中国计量出版社,1988。

[2]BIPM、IEC、IFCC,IUPAC,IUPAP,OIML,Guide to the Expression of Uncertainty in Measurement, ISO,1993.

[3]刘智敏,不确定度原理,中国计量出版社,1993。

[4]刘智敏,误差分布论,原子能出版社,1988。

[5]刘智敏,误差与数据处理,原子能出版社,1983。

[6]Liu Zhimin(刘智敏),Measurement Uncertainty and Its Correlation Combination,Proceeding of ISEM, 1993.

[7]国家计量总局量值传递处编,计量技术考核纲要,计量出版社,1981。

[8]国家技术监督局审定,刘智敏等编审,全国计量检定人员考核统一试题集第六分册三,误差及数据处理,陕西科学技术出版社,1990。

随便看

 

离鸟网收录3541549条中英文词条,其功能与新华字典、现代汉语词典、牛津高阶英汉词典等各类中英文词典类似,基本涵盖了全部常用中英文字词句的读音、释义及用法,是语言学习和写作的有利工具。

 

Copyright © 2004-2024 vtrois.com All Rights Reserved
更新时间:2026/4/8 22:46:13