基本案情
某农业生产企业为增值税一般纳税人,生产增值税免税产品和加工适用17%税率的应税食品。该企业每月的农业产品销售额预计为60万元,加工食品含税销售额预计为40万元;用于生产农产品的进项税额预计3万元,用于加工食品的进项税额预计2万元。
节税分析
企业可以将免税产品与应税产品的销售额分开核算,其纳税情况与未分开核算时大有不同。
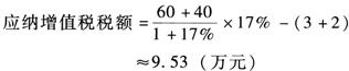
方案一:未进行单独核算,则:

实际销售收入=60+40-9.53
=90.47(万元)
方案二:单独核算,则:

实际销售收入=60+40-3.81
=96.19(万元)
节税结果
通过上述的分析可以看出,是否将免税产品与应税产品的销售额分开核算,纳税情况有所不同,企业单独核算每月可以节减增值税约5.72万元(9.53-3.81)。
特别提示
上述案例中,只是说明在兼营应税项目和免税项目之间有一定的税收筹划空间。在具体进行税收筹划时,还需综合考虑其他一些因素。