网站首页  词典首页


请输入您要查询的字词:

 

字词 冷库运转操作热的计算
类别 中英文字词句释义及详细解析
释义

冷库运转操作热的计算


(一)照明耗冷量Q4-1

Q4-1=q4-1A (kJ/h) (4-4-16)

式中 A——冷库面积,m2

q4-1——单位照明面积耗冷量,kJ/(m2·h),按表4-4-19取值

表4-4-19 单位面积照明耗冷量

(二)动力机械运转发热耗冷量Q4-2

Q4-2=3.6×105Pη (kJ/h) (4-4-17)

式中 P——各种机械所配电动机功率,kW

η——效率因素,电机安装在冷却间内,η=1.0,安装在川堂η=0.75

(三)库门开启耗冷量Q4-3

Q4-3=qmZNi (kJ/h) (4-4-18)

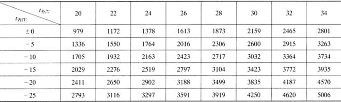
式中 qm——库门每开启1h的耗冷量,kJ/h,按表4-4-20取值

表4-4-20 冷库门1h耗冷量qm 单位:kJ/h

Z——库房使用系数,按表4-4-21取值

表4-4-21 库房使用系数Z值(相当于每天许可库门开启小时数)

Nj——库房条件系数,按表4-4-22取值

表4-4-22 各种条件下的使用系数Nj

注:B——宽度,m。

(四)库内操作工人耗冷量Q4-4

Q4-4=qrn (kJ/h) (4-4-19)

式中 qr——单位时间每人产生的人身热,kJ/(h·人),按表4-4-23取值

表4-4-23 操作工人单位时间产生的热量

n——库内同时期操作人数。当库房面积≤200m2,n=2~3;库房面积>200m2,n=3~4

(五)冷库操作总耗冷量Q4

Q4=K(Q4-1+Q4-2+Q4-3+Q4-4)(kJ/h) (4-4-20)

式中 K——同期操作管理系数。结冻间、冷却间、操作频繁的库房及面积小于100m2的冷藏间K=0.75,面积大于100m2的冷藏间K=0.5

随便看

 

离鸟网收录3541549条中英文词条,其功能与新华字典、现代汉语词典、牛津高阶英汉词典等各类中英文词典类似,基本涵盖了全部常用中英文字词句的读音、释义及用法,是语言学习和写作的有利工具。

 

Copyright © 2004-2024 vtrois.com All Rights Reserved
更新时间:2026/4/8 5:18:33