网站首页  词典首页


请输入您要查询的字词:

 

字词 准理想需求系统
类别 中英文字词句释义及详细解析
释义

准理想需求系统


1980年,迪顿(Angus Deaton)和米尔鲍尔(John Muellbauer)提出了这种新的消费需求系统,并给出了相应的计量模型(简称AIDS模型)。

此模型有优于其他模型的性质,可一阶逼近任何一种需求系统,而且便于对需求系统理论上必须满足的条件进行实证检验。

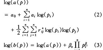
准理想需求系统的建模思路为,在给定价格体系和一定的效用水平下,消费者如何以最少的支出来达到已给定的效用水平。假定消费者行为满足理性选择偏好假说,常用于描述这类选择偏好的支出函数是PIGLOG(Price Independent Generalized Log)型函数,其形式为

log(C(u,p))

=(1-u)log(a(p))+ulog(b(p))(1)

这里,u(0≤u≤1)为效用指标,u=0表示仅维持基本生理需要时的效用;u=1表示效用已达到最大满足。a(p)和b(p)为适当的齐次线性函数。因为u=0时,C(u,p)=a(p);u=1时,C(u,p)=b(p),故a(p)和b(p)分别表示消费者仅满足基本生理需要与获得最大效用时所需要的最小支出。

选取a(p)与b(p)如下形式:

其中αi、β0、βi为参数。

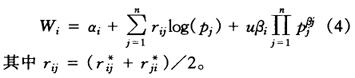
将(2)、(3)代入(1)式得AIDS模型的支出函数:

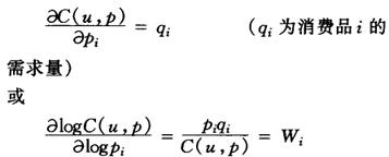
支出函数的一个重要特性是:最小支出对价格的导数等于用价格和效用表示的最优需求量,即

Wi为用于消费品i的支出占总支出的份额。

支出函数对logpi求偏导数得

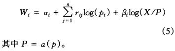
对于追求效用最大化的消费者,实现效用水平u的最小支出C(u,p)就是他的真实预算支出X。由(1)式解出u代入(4)式,得AIDS模型的预算份额构成式

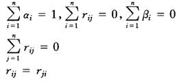
AIDS模型理论上满足需求系统的加总条件、零阶齐次条件以及斯卢茨基(Slutsky)对称条件,故有下列性质:

rij反映了消费品价格对支出预算份额Wi的影响,表示消费品j价格上涨1%时,exp(Wi)的百分比变化,正负号决定上升或下降的方向。

关于X/P,P可以看作是一种价格指数,X/P表示一种“真实支出”。因P=a(p),这种“真实支出”是以几倍于基本生理需要支出计量的。X/P的变化对Wi的影响由βi表示,βi可解释为X/P变化1%时,exp(Wi)变化百分之几。

一般地,奢侈消费品的βi值为正,必需品的βi值为负。

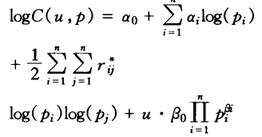
对(5)式计量估计的困难是价格指数P的测度。Deaton曾指出,指数P可以用Stone价格指数代替。1987年G·菲利普斯(G.Phillips)等人认为,两种指数在具体应用时,所得的结论是相近的。AIDS模型的估计式(5)变为

随便看

 

离鸟网收录3541549条中英文词条,其功能与新华字典、现代汉语词典、牛津高阶英汉词典等各类中英文词典类似,基本涵盖了全部常用中英文字词句的读音、释义及用法,是语言学习和写作的有利工具。

 

Copyright © 2004-2024 vtrois.com All Rights Reserved
更新时间:2026/4/6 22:33:12