网站首页  词典首页


请输入您要查询的字词:

 

字词 函数图形的特性及其判定
类别 中英文字词句释义及详细解析
释义

函数图形的特性及其判定


函数单调性的判定法 设函数y=f(x)在[a,b]上连续,在(a,b)内可导.

如果在(a,b)内f′(x)>0,则函数y=f(x)在[a,b]上单调增加.

如果在(a,b)内f′(x)<0,则函数y=f(x)在[a,b]上单调减少.

如果在(a,b)内f′(x)=0,则函数y=f(x)在[a,b]上为常数.

函数极值定义 设函数f(x)在区间(a,b)内有定义,x0是(a,b)内的一个点.

如果存在着点x0的一个去心邻域,对于这去心邻域内的任何点x,恒有f(x)<f(x0),则称f(x0)是函数f(x)的一个极大值.

如果存在着点x0的一个去心邻域,对于这去心邻域内的任何点x,恒有f(x)>f(x0),则称f(x0)是函数f(x)的一个极小值.

函数的极大值与极小值统称为函数的极值,使函数取得极值的点称为极值点.

函数在一点取得极值的必要条件 设函数f(x)在点x0处可导,且在x0处取得极值,那么函数在x0处的导数为零,即

f′(x0)=0.

函数在一点取得极值的第一充分条件 设函数f(x)在点x0的一个空心邻域内可导且在x0处连续.

如果存在δ>0,当x∈(x0-δ,x0)时,f′(x)>0;当x∈(x0,x0+δ)时,f′(x)<0,则f(x)在x0处取得极大值.

如果存在δ>0,当x∈(x0-δ,x0)时,f′(x)<0;当x∈(x0,x0+δ)时,f′(x)>0,则f(x)在x0处取得极小值.

如果当x取x0左右两侧邻近的值时,f′(x)符号相同,则f(x)在x0处无极值.

函数在一点取得极值的第二充分条件 设f(x)在x0处具有二阶导数,且f′(x0)=0,f″(x0)≠0,那么

当f″(x0)<0时,函数f(x)在x0处取得极大值;

当f″(x0)>0时,函数f(x)在x0处取得极小值.

最大值、最小值(统称最值)的求法 若函数y=f(x)在闭区间[a,b]上连续,则求最大值、最小值的方法为:

在闭区间[a,b]上找出所有使y′=0的驻点和导数不存在的点,比较函数y=f(x)在驻点、导数不存在的点和区间端点处的函数值的大小,其中最大的是函数y=f(x)在闭区间[a,b]上的最大值,最小的是函数y=f(x)在闭区间[a,b]上的最小值.

在实际问题中,常运用下面的结论:

(1)若f(x)在某区间(包括各种区间)内连续且仅有一个可能极值点x0,则当x0是极大(小)值点时,f(x0)就是该函数在该区间的最大(小)值.

(2)若由分析得知,确实存在最大(小)值,又在论及的区间内仅有一个可能极值点x0,则f(x0)就是该函数在该区间的最大(小)值.

曲线凹凸的定义 设f(x)在区间I上连续,如果对I上任意两点x1,x2,恒有

则称f(x)在区间I上的图形是(向上)凹的(或凹弧);如果恒有

则称f(x)在区间I上的图形是(向上)凸的(或凸弧).

曲线凹凸的判定定理 设f(x)在(a,b)内连续且具有二阶导数,若在(a,b)内f″(x)>0,则f(x)在(a,b)上的图形是凹的;若在(a,b)内f″(x)<0,则f(x)在(a,b)上的图形是凸的.

曲线的拐点 连续曲线上凹凸的分界点称为曲线的拐点.

定理 如果函数f(x)在点x0的δ邻域内存在二阶导数,则点(x0,f(x0))是拐点的必要条件是f″(x0)=0.

求函数f(x)拐点的方法

方法1:

设函数f(x)在点x0的δ去心邻域内存在二阶导数且x0处f(x)连续.若x0两侧f″(x)变号,则点(x0,f(x0))是曲线y=f(x)的拐点.若x0两侧f″(x)不变号,则点(x0,f(x0))不是曲线y=f(x)的拐点.

方法2:

设函数f(x)在x0的邻域内具有三阶导数,且f″(x0)=0而,那么点(x0,f(x0))是曲线y=f(x)的拐点.

水平渐近线 见第1章.

铅直渐近线 见第1章.

斜渐近线

如果(a,b为常数)存在,则y=ax+b就是y=f(x)的一条斜渐近线.

函数图形描绘的步骤

(1)确定函数的定义域,讨论其奇偶性、周期性;

(2)求出f′(x),并讨论单调性及极值;

(3)求出f″(x),并讨论曲线的凹凸性及拐点;

(4)讨论铅直渐近线、斜渐近线;

(5)有时还需要补充一些点,如零点值f(x)=0.

有时只需讨论定义域、单调性、极值和渐近线,就可作出函数的图形.

平均曲率 记单位弧段上切线转过的角度的大小为△a,则平均曲率

其中

曲率 平均曲率的极限叫做曲线C在点M处的曲率,记作

图4.3

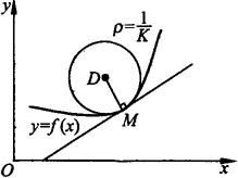
曲率圆与曲率半径 设曲线y=f(x)在点M(x,y)处的曲率为K(K≠0).在点M处的曲线的法线上,在凹的一侧取一点D,使.以D为圆心,ρ为半径作图(见图4.4),这个圆叫做曲线在点M处的曲率圆.曲率圆的圆心D叫做曲线在点M处的曲率中心,曲率圆的半径ρ叫做曲线在点M处的曲率半径.

图4.4

渐屈线与渐伸线 当点(x,f(x))沿曲线C移动时,相应的曲率中心D的轨迹曲线G称为曲线C的渐屈线,而曲线C称为曲线G的渐伸线.

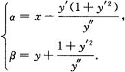
曲率中心(渐屈线)的计算公式 曲线y=f(x)具有二阶导数y″,且y″≠0,设曲线在点M(x,y)处的曲率中心为D(α,β),则有

随便看

 

离鸟网收录3541549条中英文词条,其功能与新华字典、现代汉语词典、牛津高阶英汉词典等各类中英文词典类似,基本涵盖了全部常用中英文字词句的读音、释义及用法,是语言学习和写作的有利工具。

 

Copyright © 2004-2024 vtrois.com All Rights Reserved
更新时间:2026/4/8 22:10:23