网站首页  词典首页


请输入您要查询的字词:

 

字词 函数的极限
类别 中英文字词句释义及详细解析
释义

函数的极限


自变量趋向有限值时函数的极限定义 设函数f(x)在点x0的某一去心邻域内有定义.如果对于任意给定的正数ε,不论它多么小,总存在相应的正数δ,使得满足不等式0<|x-x0|<δ的一切x,对应的函数值f(x)都满足不等式

|f(x)-A|<ε,则称常数A为函数f(x)当x→x0时的极限,记作

或f(x)→A(x→x0).

简述为“ε-δ”定义:,使当0<|x-x0|<δ时,恒有|f(x)-A |<ε.(其中表示任意,表示存在.)

自变量趋向有限值时函数的极限几何意义 任意给定一正数ε,作平行于x轴的两条直线y=A+ε和y=A-ε,存在着点x0的一个去心δ邻域,当x属于时,y=f(x)的图形位于这两直线之间(见图2.7).

图2.7

左极限 ,使当x0-δ<x<x0时,恒有|f(x)-A|<ε,记作

右极限 ,使当x0<x<x0+δ时,恒有|f(x)-A|<ε,记作

定理

自变量趋向无穷大时函数的极限定义 如果对于任意给定的正数ε,总相应存在正数X,使得满足不等式|x|>X的一切x,所对应的函数值f(x)都满足不等式|f(x)-A|<ε,那么常数A就叫函数f(x)当x→∞时的极限,记作

几何意义 任意给定一正数ε,作平行于x轴的两条直线y=A+ε和y=A-ε,则总存在着一个正数X,使得当x<-X或x>X时,函数y=f(x)的图形位于这两直线之间(见图2.8).

图2.8

1.的情形

任给ε>0,存在X>0,当x>X时恒有

|f(x)-A|<ε.

2.的情形

任给ε>0,存在X>0,当x<-X时恒有

|f(x)-A |<ε.

定理

水平渐近线 如果,则直线y=c是曲线y=f(x)的水平渐近线.

铅直渐近线 如果,则直线x=x0是曲线y=f(x)的铅直渐近线.

极限的局部保号性定理

(1)如果,而且A>0(或A<0),那么就存在着点x0的某一去心邻域,当x在该邻域内时,就有f(x)>0(或f(x)<0).

(2)如果,那么就存在着x0的某一去心邻域,当时,就有

(3)如果在x0的某一去心邻域内f(x)≥0(或f(x)≤0)而且,那么A≥0(或A≤0).

说明:以下记号“lim”是指对x→x0及x→∞都成立.

无穷小定义 若limf(x)=0,则称函数f(x)当x→x0(或x→∞)时为无穷小.

无穷小与函数极限的关系定理 ,其中α(x)是当x→x0(或x→∞)时的无穷小.

无穷大定义 若limf(x)=∞(指)(或|x|>N,N为某一正数)时,|f(x)|>M,M为任意正数),则称函数f(x)当x→x0(或x→∞)时为无穷大.

正无穷大和负无穷大的定义 limf(x)=+∞(或limf(x)=-∞).(指f(x)>M(或f(x)<-M),M为任意正数.)

无穷小与无穷大的关系定理 若limf(x)=0(f(x)≠0),则反之也成立.

定理 有限个无穷小的和也是无穷小(注意:无穷多个无穷小的代数和未必是无穷小).

定理 有界函数与无穷小的乘积是无穷小.

定理 常数与无穷小的乘积是无穷小.

定理 有限个无穷小的乘积也是无穷小.

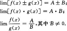
极限的四则运算定理 设limf(x)=A,limg(x)=B,则

定理 如果limf(x)存在,且c为常数,则

lim[cf(x)]=climf(x).

定理 如果limf(x)存在,且n是正整数,则

lim[f(x)]n=[limf(x)]n

局部不等性定理 如果φ(x)>ψ(x),且limφ(x)=a,limψ(x)=b,则a≥b.

复合函数的极限运算法则 设函数u=φ(x)当x→x0时的极限存在且等于a,即,但在点x0的某去心邻域内φ(x)≠a,又,则复合函数f[φ(x)]当x→x0时的极限也存在,且

夹逼准则Ⅰ 如果数列xn,yn及zn满足下列条件

yn≤xn≤zn(n=1,2,3,…),

,那么数列xn的极限存在,且

夹逼准则Ⅱ 如果当(或|x|>M)时,有

g(x)≤f(x)≤h(x),

且limg(x)=A,limh(x)=A,那么limf(x)存在,且等于A.

单调数列

1.如果数列{xn}满足条件

x1≤x2≤…≤xn≤xn+1≤…,

就称数列{xn}是单调递增数列.

2.如果数列{xn}满足条件

x1≥x2≥…≥xn≥xn+1≥…,

就称数列{xn}是单调递减数列.

单调递增数列和单调递减数列统称为单调数列.

单调有界准则 单调有界数列必有极限.

柯西极限存在准则(柯西收敛原理) 数列{xn}收敛的充分必要条件是对于任意给定的正数ε,存在着这样的正整数N,使得当m>N,n>N时,恒有|xn-xm|<ε.

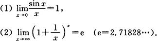
两个重要极限

无穷小的比较 设α,β是同一过程中的两个无穷小,且α≠0.

(1)如果,就说β是α的高阶无穷小,记作β=o(α).

(2)如果,就说β是α的低阶无穷小.

(3)如果l,就说β与α是同阶无穷小.特殊地,如果,则称β与α是等价无穷小.记作α~β.

(4)如果l,就说β是α的k阶无穷小.

常见的等价无穷小(以下等价无穷小均是在x→0时的情况)

sinx~x,arcsinx~x,tanx~x,arctanx~x,

ln(1+x)~x,

等价无穷小代换定理

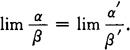
(1)设α~α′,β~β′,且l存在(或无穷大),则l存在(或无穷大),且

(2)设α~α′,β~β′,且l存在(或无穷大),则存在(或无穷大),且

(3)设α~α′,β~β′,γ~γ′,且l,则

定理 β与α是等价无穷小的充分必要条件为β=α+o(α).

随便看

 

离鸟网收录3541549条中英文词条,其功能与新华字典、现代汉语词典、牛津高阶英汉词典等各类中英文词典类似,基本涵盖了全部常用中英文字词句的读音、释义及用法,是语言学习和写作的有利工具。

 

Copyright © 2004-2024 vtrois.com All Rights Reserved
更新时间:2026/4/9 4:45:55