网站首页  词典首页


请输入您要查询的字词:

 

字词 分散紫HFRL
类别 中英文字词句释义及详细解析
释义

分散紫HFRL


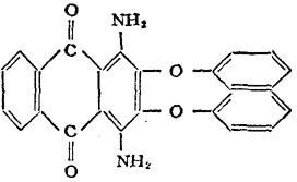
【结构式】:

【释文】:

性质 本品在纯涤纶上的染色坚牢度如下:耐晒5~6级,耐洗4~5级,耐升华(180℃/30秒)4~5级,耐汗渍4~5级,耐磨4~5级。

用途 本品为紫色分散染料。主要用于涤纶的染色,也可用于聚乙烯、聚丙烯、聚苯乙烯等塑料的着色。

国内生产厂 上海染化十一厂

国外商品名

随便看

 

离鸟网收录3541549条中英文词条,其功能与新华字典、现代汉语词典、牛津高阶英汉词典等各类中英文词典类似,基本涵盖了全部常用中英文字词句的读音、释义及用法,是语言学习和写作的有利工具。

 

Copyright © 2004-2024 vtrois.com All Rights Reserved
更新时间:2026/4/9 9:54:48