网站首页  词典首页


请输入您要查询的字词:

 

字词 分散红3B
类别 中英文字词句释义及详细解析
释义

分散红3B


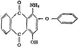
【结构式】:

【释文】:

性质 紫红色粉末。在纯涤纶上染色(浓度为2.5克/升)坚牢度如下:耐晒6~7级,耐皂洗(60℃)4~5级,耐升华(180℃/30秒)4~5级,耐汗渍4~5级,耐磨4~5级,耐气候6~7级。

用途 本品为红色分散染料,主要用于涤纶、锦纶的染色。纯染料可用于聚乙烯、聚丙烯和聚苯乙烯的着色。

国内生产厂

北京染料厂 天津染化十厂

上海染化五厂 天津卫津化工厂

苏州染料厂 江苏吴江化工厂

武汉染料厂 山东蓬莱染料厂

国外商品名

随便看

 

离鸟网收录3541549条中英文词条,其功能与新华字典、现代汉语词典、牛津高阶英汉词典等各类中英文词典类似,基本涵盖了全部常用中英文字词句的读音、释义及用法,是语言学习和写作的有利工具。

 

Copyright © 2004-2024 vtrois.com All Rights Reserved
更新时间:2026/4/7 10:25:34