网站首页  词典首页


请输入您要查询的字词:

 

字词 分析方法
类别 中英文字词句释义及详细解析
释义

分析方法


离子选择性电极的分析方法很多,基本上可分为直接电位法与电位滴定法两类。

(一)直接电位法 直接电位法是以电位与离子活度之间的Nernst关系为基础的,又可分为校准曲线法,直接刻度法,标准添加法。

1.校准曲线法 在测定待测液前,预先配制不同浓度的一系列标准溶液,如10-5、10-4、10-3、10-2、10-1mol,从稀到浓分别依次测定标准溶液的电位,于半对数纸上将此系列标准液测得的E值对-logai作图,可得到一条校准曲线,然后根据待测液测得的电位,从图上查得其活度。这个方法的关键问题,是活度系数的确定。对于复杂的体系,标准溶液应近似于待测液的基底或加入过量惰性电解质以掩盖待测液基底和标准液基底的不同。而一般当待测液浓度很稀时,活度系数可忽略不计,而看成为E--1ogc的作图。

2.直接刻度法可以在仪表上直接利用Nernst关系式刻度,如上海第二分析仪器厂pHS-3型的离子计及江苏泰县无线电厂的P×D-2型离子计,此二仪器有两个调节钮,一个是调节整个测量电池的“零电位”。使指针落在表头上。一个是调节2.303项,即电极“系数”(S),又称为斜率或级差。

以上两种方法适用于同时进行若干个样品的测定。如果只测定一、两个样品或者仪器上没有上述调节装置,可用计算方法求得。

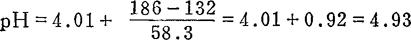
例如DD-2型电位仪测pH值时,先用pH4.01的缓冲液测得电位差为-132mV,继用pH6.86缓冲液测得-298mV,算出S为58.3,再测待测液为-186mV,即很容易算出其pH值。

3.标准添加法 在实际测定中,常遇到各种待测液差别很大,即使加入调节剂,在含有大量其他离子或络合剂的溶液中,其pH值,离子络合物形成条件等仍难以控制,采用标准添加法,可避免上述复杂问题,可直接测定离子浓度,虽然这时电极响应的仍是活度。

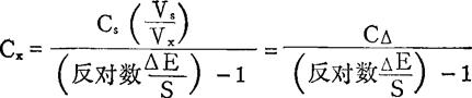
设待测液的体积为Vx,待测离子浓度为Cx,活度系数为f,其电位应为:

在测过电位后,加入少量体积(Vs)的标准液,标准液的浓度Cs比预料的Cx(待测液)的浓度应大100倍,以保证加入的体积约为待测液的1/100,重测电位为:

式中C△为加入标准溶液后试液的浓度变化,假定Vs与Vx相比可以忽略。

合并(1)(2)两式,得到:

假定加入少量标准液后活度系数不变,即f1≈f2,上式即可简化为: ,取反对数,并解出

从上面公式可看出,这个方法的精确度决定于Cs、Vs、Vx、S、△E等项,前三项易于精确知道。如果电极性能良好,S值一般也可较精确地测出。这样,测定精确度主要决定于△E,即两次电位测定的可靠性。△E值愈小,相对误差愈大,因此宜使△E大些,但这又需要加入的标准液多些,这又有可能改变活度系数甚至引起参比电极的液接电位的改变。因此一般使△E值为25-60mV之间,因此标准液添加的体积和浓度的界限值,分别为.电极响应斜率S值(实测值)在E-E+△E的变化区间应为定值(偏差<±1mV)。这个方法简便快速,又比较精确,而且即使溶液中有络合剂存在也可以应用。

(二)电位滴定法 是观察电位的突跃以确定滴定的等当点,由消耗标准液的体积来计算待测组分的含量。由于电位滴定法所关心的不是电位绝对值,所以一些因素即使影响电位,一般也对测定结果没有影响。又由于等当点附近的电位变化很激烈,所以对电位测量精密度要求不高,此法较直接电位法准确、精密,但较费时。此法还可以测定对该离子没有专一性响应的电极的离子数量。例如用硝酸铅作滴定剂,用铅电极做指示电极,测定硫酸根数量。铝离子可以用氟化钠滴定。因此用途很广。

随便看

 

离鸟网收录3541549条中英文词条,其功能与新华字典、现代汉语词典、牛津高阶英汉词典等各类中英文词典类似,基本涵盖了全部常用中英文字词句的读音、释义及用法,是语言学习和写作的有利工具。

 

Copyright © 2004-2024 vtrois.com All Rights Reserved
更新时间:2026/4/7 8:14:16