网站首页  词典首页


请输入您要查询的字词:

 

字词 分步法
类别 中英文字词句释义及详细解析
释义

分步法


分步法是按照产品的品种及其生产步骤来归集生产费用,计算产品成本的一种方法。这种方法以其是否计算半成品成本为标志又可分为逐步结转分步法和平行结转分步法。

一、逐步结转分步法

(一)逐步结转分步法的意义、适用范围及特点

逐步结转分步法是按产品加工步骤的先后顺序,逐步计算并结转各步骤半成品成本,直到最后计算出产品成本的一种方法。

逐步结转分步法适用于各步骤半成品有独立的经济意义,管理上要求核算半成品成本的企业。特别适用于连续式多步骤生产的企业,在这类企业中,车间(或工段)一般是按照加工步骤来设置的,如黑色冶金工业划分为炼铁、炼钢、轧钢等步骤;造纸工业划分为制浆、制纸、包装等步骤,而且各步骤的半成品一般都具有独立的经济意义,既可作为半成品交下步骤继续加工,又可直接作为产品对外销售,如黑色冶金工业的生铁、钢锭、纺织工业的棉纱等。从而决定了这类企业应采用逐步结转分步法计算产品成本,即以产品品种和生产步骤计算半成品成本。由于上一步骤的半成品是作为下一步骤继续加工的劳动对象,为了正确计算所经各步骤的半成品成本和最终产品的成本,各步骤半成品成本必须随着其实物转移到下一步骤继续加工时也转移到下一步骤成本明细帐(或成本计算单)的“直接材料”成本项目中去,概言之,即半成品成本随实物的转移而转移。由于这类企业都是大量大批生产的企业,不断有投入也有产出,因而其成本计算定期在月末进行,与会计报告期一致,与生产周期不一致。同时,由于不断地有投入也有产出,从而也决定了在月末进行成本计算时各生产步骤必须存在尚处于加工过程的产品。这种处于某一加工过程的在产品属于狭义在产品,因此在分别计算最后步骤完工产品和以前各步骤半成品成本时,均应将各步骤(包括最后步骤)汇集的生产费用在本步骤完工半成品(最后步骤成为产成品)与在产品之间进行分配。

(二)逐步结转分步法计算程序及图示

由于连续或多步骤生产的企业,其步骤半成品一般都具有独立的经济意义而需要按步骤半成品为成本计算对象来计算各步骤半成品的成本,如果我们把各步骤半成品视作产品,其生产费用的归集和分配与按产品为成本计算对象的品种法是基本相同的。因而其成本计算的一般程序与前述品种法的成本计算程序也是基本相同的。在此不再重复,所不同的仅是半成品的结转,在逐步结转分步法下,我们将每一步骤的半成品视作产成品(事实上是有些半成品也可直接出售),则当其全部直接移交下一步骤加工,或入库后一部分对外销售、一部分由下一步骤领用继续加工(自用部分也可不入库直接交下一步骤加工),当其半成品随实物的转移而转移时,我们看到所谓逐步结转分步法,实际上是以品种法为基础的品种法的连续应用而已。

逐步结转分步法的成本计算程序图如图表4-3所示。

图表4-3

第一步骤成本明细帐

第二步骤成本明细帐 ……最后步骤成本明细帐

逐步结转分步法按期由上一步骤转移到下一步骤是否分成本项目,又可分作综合逐步结转法和分项逐步结转法,下面分别叙述。

(三)综合逐步结转分步法

综合逐步结转分步法是将上一步骤半成品成本向下一步骤成本计算明细帐结转时,不分成本项目,而是以移交下一步骤加工的半成品数量以半成品单位成本后的半成品总成本登记入下一步骤成本明细帐的“直接材料”成本项目专栏(或设置的“自制半成品”成本项目专栏),而不按成本项目分别结转。

1.综合逐步结转分步法举例

〔例〕某厂设有三个基本生产车间,第一车间生产A半成品,第二车间将A半成品加工为B半成品,第三车间将B半成品加工为C产品,上一步骤生产完工的半成品全部直接交下一步骤继续加工。各步骤的完工程度均为50%,材料系第一步骤开始时一次全部投入。

本月生产情况如图表4-4所示。

图表4-4

本月发生的生产费用,已根据各种费用分配表和有关凭证记入各步骤基本生产成本明细帐。有关材料、人工、动力等要素费用的分配,以及辅助生产、制造费用等综合费用的汇集和分配的程序和方法,已在“品种法”中阐明,这里不再赘述。

A半成品和B半成品、C半成品的成本明细帐格式,分别如图表4-5、4-6和4-7所示。

图表4-5

基本生产成本明细帐

图表4-6

基本生产成本明细帐

图表4-7

基本生产成本明细帐

一车间完工A半成品成本和在产品成本计算如下:在产品约当产量=16×50%=8(件)

A半成品材料费用=145×200=29000(元)

A在产品材料费用=145×16=2320(元)

A半成品人工费用=50×200=10000(元)

A在产品人工费用=50×8=400(元)

A半成品制造费用=45×200=900(元)

A在产品制造费用=45×8=360(元)

A半成品总成本=29000+10000+9000=48000(元)

A在产品成本=2320+400+360=3080(元)

二车间完工B半成品成本和在产品成本计算如下:

在产品约当产量=32×50%=16(件)

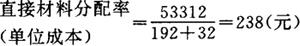
B半成品材料费用=238×192=45696(元)

B在产品材料费用=238×32=7616(元)

B半成品材料费用=75×192=14400(元)

B在产品材料费用=75×16=1200(元)

B半成品制造费用=58×192=11136(元)

B在产品制造费用=58×16=928(元)

B半成品总成本=45696+14400+11136=71232(元)

B在产品成本=7616+1200+928=9744(元)

三车间完工C产品成本和在产品成本计算如下:

在产品约当产量=20×50%=10(件)

C产品材料费用=375×200=75000(元)

C在产品材料费用=375×20=7500(元)

C产品材料费用=70×200=14000(元)

C在产品材料费用=70×10=700(元)

C产品制造费用=50×200=10000(元)

C在产品制造费用=50×10=500(元)

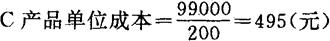
C产品总成本=75000+14000+10000=99000(元)

C在产品成本=7500+700+500=8700(元)

2.成本还原

从上例可以看出,在综合逐步结转分步法下,上一步骤的半成品随着实物的转移而转到下一步骤半成品成本明细帐时,是将包括直接耗用的材料、人工和分配的制造费用在内的综合成本记入下一步骤成本明细帐的“直接材料”(或“自制半成品”)成本项目。这样,除了第一步骤的半成品成本可按成本项目考核其成本结构外,其余各步骤的“直接材料”(或“自制半成品”)成本项目中均包括了直接人工和制造费用等半成品加工费用,从而不便于企业领导和上级部门了解和考核产品成本结构和分析成本项目的升降情况。为满足成本管理的需要,应当采用适当的方法将最后步骤完工产品的总成本中的“直接材料”(“自制半成品”)成本项目还原为原来的成本结构,以便掌握最终产品成本中究竟“直接材料”、“直接人工”、“制造费用”各占多少,以及它们各自占总成本的比重。一般的还原方法和程序是:从最后步骤起,按照上一步骤半成品成本项目的比重,从向后前逐步计算出各步骤的费用,然后分别按成本项目汇总,就是最终产品中各成本项目的实际费用。但在实际工作中,为了简化计算手续,可以采用按最终产品的“直接材料”(或“自制半成品”)成本项目,根据历史资料和技术测定等确定的定额成本构成的比重进行还原,还原后再将其中“直接人工”、“制造费用”的金额与最后步骤产成品中的“直接人工”、“制造费用”分别相加,即可求得按成本项目还原后的最后完工产品的成本及其结构。

以前举综合逐步结转分步法有关数据为例,其最后步骤完工产品成本99000元中的“直接材料”(或“自制半成品”)成本为75000元,按其定额成本比例还原如图表4-8所示。

图表4-8

产成品成本按半成品定额单位成本构成比重还原计算表

(四)分项逐步结转分步法

分项逐步结转分步法是将各步骤所耗用的自制半成品成本,分别按照成本项目从上一步骤转入下一步骤相同产品的成本明细帐内相应的成本项目中。如上例中第一步骤甲半成品成本结转到第二步骤乙半成品成本明细帐时,其“直接材料”29000元、“直接人工”10000元、“制造费用”9000元应分别记入第二步骤乙半成品成本明细帐相应的成本项目,而不是将甲半成品的总成本(综合成本)48000元全部记入第二步骤的“自制材料”(或“自制半成品”)成本项目。其余步骤半成品成本的结转以此类推。采用分项结转可以直接了解各步骤半成品和完工产品的成本构成情况,而无需进行成本还原。但当加工步骤较多时计算工作量较大,尤其是当半成品先入库后领用时,自制半成品明细帐也需要分成本项目设置,采用加权平均法计算发出半成品时,还需要将各批入库的半成品分成本项目加权平均,从而增加了计算工作量。下面举例说明分项结转分步法。

〔例〕某工厂设三个生产车间,生产W产品一种产品,三个车间顺序进行加工,最后产出产成品。在产品按定额成本计价;半成品通过自制半成品库收发。该厂某月份产量、成本和在产品定额成本等资料,如图表4-9、4-10和4-11所示。

图表4-9

产量记录: 单位:件

图表4-10

成本资料: 单元:元

图表4-11

单位在产品定额成本资料

根据上列产量记录、成本资料和单位产品定额成本等资料和企业有关成本计算的规定,编制生产成本计算单,并登记自制半成品明细帐。

(1)一车间W产品(半成品A)生产成本计算单如自制半成品明细帐如图表4-12和4-13所示。

图表4-12

生产成本计算单

图表4-13

自制半成品明细帐

图表4-12,W产品(半成品A)的车间成本计算单是根据产量、成本和单位在产品定额成本等资料计算编制的。月末在产品定额成本是单位在产品各成本项目的定额成本乘月末在产品数量的积数。

一车间半成品A的自制半成品明细帐是根据自制半成品交库单和出库单登记的。入库按本月实际单位成本计算。出库按月初库存半成品成本的加权平均单位成本计算。

(2)二车间W产品(半成品B)车间成本计算单和自制半成品明细帐,如图表4-14和4-15所示。

图表4-14

生产成本计算单

图表4-15

自制半成品明细帐

(3)三车间W产品成本计算单如图表4-16所示。

图表4-16

生产成本计算单

(4)根据三车间的车间成本计算单和企业管理资料,编制“产品工厂成本计算单”,据以结转产成品工厂成本(会计分录从略)。“产品成本”计算单如图表4-17所示。

图表4-17

产品成本计算单

(五)逐步结转分步法的优缺点

从以上逐步结转分步法的举例可以看出,采用逐步结转分步法计算产品成本,各步骤都计算本步骤的半成品成本,不但有利于计算外销半成品的销售成本,而且随着半成品实物的转移,成本也转入下步骤,各步骤计算的都是完整的在产品成本,使成本与实物统一起来,有利于在产品实物和资金的管理。但是由于逐步结转,下步骤的成本计算要等待上步骤半成品成本计算出来后才能进行,延长了成本计算时间,同时上步骤的半成品成本转入下步骤,也影响下步骤的成本水平。

逐步综合结转的方法,记帐工作比较简便,便于考核各步骤的半成品成本和本步骤的费用发生情况。但不能如实反映成本构成情况,不便于按成本项目考核成本计划完成情况。因此需要按成本项目逐步还原,计算工作较繁。逐步分项结转法可以直接取得按成本项目反映的成本资料,对于分析成本结构变化,考核成本计划完成情况有重要作用。但结转半成品成本的记帐工作较繁杂的,特别是通过半成品库收发时,自制半成品明细帐也要按成本项目登记,记帐工作更加繁重。

二、平行结转分步法

(一)平行结转分步法成本计算程序

平行结转分步法的特点是:各生产步骤之间不结转半成品成本,只归集本步骤发生的其它生产费用。待产品加工完成时,分别计算出应计入产成品成本的“份额”,然后按产品平行结转、汇总各步骤份额,最后求得产成品总成本和单位成本。其程序如图表4-18所示。

在图表4-18中,在产品成本是指本步骤加工中的在产品成本和本步骤已加工完成、但未形成最终产成品的半成品成本。各步骤加工完成的半成品无论分散在何地,其费用都作为在产品成本留在原加工步骤的在产品成本中。或者说,采用平行结转分步法,在产品成本是按发生地点反映的。因此,确定各步骤应计入产成品成本的份额,是通过各步骤生产费用在产成品与在产品之间的分配来实现的。

图表4-18

平行结转分步法成本计算程序图

(二)各步骤应计入产成品成本份额的计算

各步骤计入产成品成本的份额的计算公式如下:

式中单位半成品费用是采用约当产量法、定额比例法或在产品按定额成本等方法分配的。分配时应按成本项目分别进行。

1.约当产量法。其计算公式为:

〔例〕某产品分两个步骤生产,原材料于生产开始时一次投入,月末第一步骤加工中的在

产品40件,完工率50%,第二步加工中的在产品10件,产成品20件。第一步骤月初在产品和本月发生费用合计数中原材料费7000元,加工费180元。

第一步骤应计入产成品成本的加工费=40×3=120(元)

第一步骤期末在产品成本=180-120=60(元)

2.定额比例法。其计算公式为:

式中完工半成品数量、完工半成品、期末在产品定额消耗量(费用)计算方法与前述各种计算方法相同,故从略。

〔例〕承上例,生产费用在完工产品与在产品之间,采用定额比例法分配,原材料费用按原材料定额消耗量比例分配;加工费用按定额工时比例分配。单位半成品原材料定额消耗量为25公斤,单位半成品定额工时为15小时,单位在产品定额工时为7.5小时。

每一步骤应计入

产成品的加工费=40×15×0.2=120(元)

每一步骤月末在产品的加工费=180-120=60(元)

或:每一步骤月末在产品定额工时=10×15+20×7.5=300(小时)

每一步骤月末在产品的加工费=300×0.20=60(元)

(三)平行结转分步法应用举例

1.月初在产品费用资料。由于平行结转分步法中各步骤产品是在产品,所以月初在产品费用资料与前述逐结转逐步法的月初在产品成本资料不同,如图表4-19和4-20所示。

图表4-19

产品产量记录 单位:件

图表4-20

2.各步骤成本计算如图表4-21、4-22和4-23所示。

图表4-21

第一步骤 成本计算单

图表4-22

第二步骤 成本计算单

图表4-23

第三步骤 成本计算单

在平行结转分步下,各车间成本计算单的产量都应按产成品产量计算。

上述成本计算单中的有关计算如下:

(1)单位费用:

(2)应计入产成品成本的份额:

直接材料成本份额=250×180=45000(元)

直接工资成本份额=250×180=45000(元)

制造费用成本份额=250×44=11000(元)

制造费用成本份额=250×76=19000(元)

(3)月末在产品成本:

直接材料成本=79200-45000=34200(元)

直接工资成本=17160-11000=6160(元)

制造费用成本=29640-19000=10640(元)

成本计算单中单位产品费用的计算:

其它计算与第一步骤成本计算相同(略)。

成本计算单中单位产品费用的计算:

其他计算与第一步骤成本计算相同(略)。

3.产成品制造成本计算。将各步骤应计入产成品成本的份额进行结转汇总,即可得到产成品的制造成本,其汇总计算如图表4-24所示。

图表4-24

产成品的制造成本汇总计算表

(三)平行结转分步法的优缺点

从以上举例中可以看出,平行结转分步法具有各生产步骤可以同时计算成本不必等待,不用逐步结转半成品成本,更不用进行成本还原等优点。但是也存在一些缺点,如各步骤的成本计算单中,不包括消耗上步骤半成品的成本,本步骤已经完工转出但尚未最后制成产成品的半成品也不扣除,因而不能反映本步骤在产品成本的实际情况,不利于加强对生产资金的管理,又如,不计算消耗的上步骤半成品成本,也不计算本步骤半成品的完全成本,只计算各项费用,对加强产品成本管理也是不利的。

随便看

 

离鸟网收录3541549条中英文词条,其功能与新华字典、现代汉语词典、牛津高阶英汉词典等各类中英文词典类似,基本涵盖了全部常用中英文字词句的读音、释义及用法,是语言学习和写作的有利工具。

 

Copyright © 2004-2024 vtrois.com All Rights Reserved
更新时间:2026/4/8 11:23:07