网站首页  词典首页


请输入您要查询的字词:

 

字词 初级非均相成核(非自发成核)
类别 中英文字词句释义及详细解析
释义

初级非均相成核(非自发成核)


(一)非自发成核

体系内已经存在某种不均匀性——外来的微粒等,使体系内各个部分成核的机率不同,在一定程度上降低了成核的能量势垒,使晶核可在比均相成核低得多的过饱和度下生成。凡能有效地降低成核能量势垒、促进成核作用的物质,谓之成核催化剂。

氯化钠的非自发成核有几种情况:氯化钠的晶体颗粒(盐种);与氯化钠构造相近的其他物质的晶体微粒;可成为氯化钠成核催化剂的其他物质。

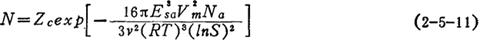
(二)成核速率计算式

式中 Esa——非均相成核所需表观界面能(erg/cm2)。计算中,当S-1值很小时,数学上可将lnS近似地取S-1=σ(相对过饱和度)。

(三)由能量关系可决定是否成为依附晶核

若依附外来种子为晶核时,其能量起伏为:

式中 S1——新相晶核与液相间的表面积(cm2)

S2——新相晶核与外来种子间的表面积(cm2)

δ1——新相晶核与液相界面上的表面张力(N/m)

δ2——外来种子与新相间界面上的表面张力(N/m)

只有当⊿F<⊿F自发成核时,才有可能在外来种子的现成界面上生长,也只有当δ2<δ1时,才能满足⊿F<⊿F自发成核,因此:

δ2<δ1时,新相晶核易在现成的界面上生长。

δ2>δ1时,外来种子根本不起基底(盐种)作用。

(四)在海盐生产上的应用

滩晒短期结晶,因结晶卤水不深,扒盐时要留大碴、均碴、白净、不露池板,Na+、C1可直接依附盐碴生长,降低卤水过饱和度,减少自发成核表面结晶,有利于生长大粒盐,提高盐质;深卤长期结晶,除控制自发成核外,也要防止悬浮物、不溶物进入池内,保证结晶卤水清洁,利于池底长盐,提高盐质;水不溶性杂质附于晶体表面,能阻碍Na+、Cl依附盐碴成长,促使卤水过饱和度增加,易在卤水表面漂花结晶,形成片盐、细盐,降低盐质;滩晒精细盐时,为提高盐质,保证粒细、均匀、白净,除采取打花、盐操作外,扒盐要收净,留下的盐粒,下次灌池结晶前应全部化掉。

随便看

 

离鸟网收录3541549条中英文词条,其功能与新华字典、现代汉语词典、牛津高阶英汉词典等各类中英文词典类似,基本涵盖了全部常用中英文字词句的读音、释义及用法,是语言学习和写作的有利工具。

 

Copyright © 2004-2024 vtrois.com All Rights Reserved
更新时间:2026/4/8 6:23:06