网站首页  词典首页


请输入您要查询的字词:

 

字词 利率的收入效应
类别 中英文字词句释义及详细解析
释义

利率的收入效应


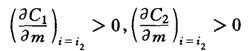
利率变动后,由实际收入的变化导致的消费和储蓄的变化。由“利率的替代效应”辞条可知,当利率提高时,对净储蓄者(见“利率的替代效应”图1)而言,实际收入提高了,该消费者将提高现期消费和未来消费,即:

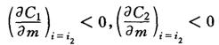
现期消费的总效应要视收入效应和替代效应的绝对值大小而定(因两者的方向是相反的)。对净借入者(见“利率的替代效应”图2)而言,利率提高使实际收入降低(因为在第2期要偿还更多的利息),该消费者将降低现期消费和未来消费,即:

现期消费的总效应是与利率呈反方向变化,即:

〖参〗利率的替代效应

随便看

 

离鸟网收录3541549条中英文词条,其功能与新华字典、现代汉语词典、牛津高阶英汉词典等各类中英文词典类似,基本涵盖了全部常用中英文字词句的读音、释义及用法,是语言学习和写作的有利工具。

 

Copyright © 2004-2024 vtrois.com All Rights Reserved
更新时间:2026/4/7 1:13:14