网站首页  词典首页


请输入您要查询的字词:

 

字词 利率的替代效应
类别 中英文字词句释义及详细解析
释义

利率的替代效应


在实际收入保持不变的情况下,利率变动导致的消费和储蓄的变动。由两期跨时预算约束模型可知,消费者对消费和储蓄的选择可表述为如下数学模型:

max U=U(C1,C2)

s.t.(1+π)p1C2+(1+i)p1C1

=m2+(1+i)m1

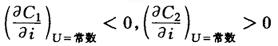
其中U(C1,C2)是跨时效用函数,C1和C2分别是现期消费和未来消费,π是通货膨胀率,p1是第1期时的物价指数,i是市场利率,m1和m2分别是现期收入和未来收入。效用最大化的一阶条件是:

其中MRTP是边际时间偏好率(Marginal Rate of Time Preference)。当利率提高时(由i1升至i2),无论对于净储蓄者(图1,第1期消费小于第1期收入)还是对于净借入者(图2,第1期消费大于第1期收入),其替代效应均使现期消费(C1)减少,未来消费(C2)增加,即:

这是因为在效用不变的情况下,利率提高将使现期消费的代价提高,消费者用未来消费替代现期消费。

(a)

(b)

图1 利率变化对净储蓄者的影响:

消费组合由a点移动到b点

图2 利率变化对净借入者的影响:

消费组合由a点移动到b点

〖参〗利率的收入效应

随便看

 

离鸟网收录3541549条中英文词条,其功能与新华字典、现代汉语词典、牛津高阶英汉词典等各类中英文词典类似,基本涵盖了全部常用中英文字词句的读音、释义及用法,是语言学习和写作的有利工具。

 

Copyright © 2004-2024 vtrois.com All Rights Reserved
更新时间:2026/4/7 16:52:03