网站首页  词典首页


请输入您要查询的字词:

 

字词 制冷设备选择与计算
类别 中英文字词句释义及详细解析
释义

制冷设备选择与计算


1.氨压缩机选择

饮料厂根据工艺工况多选用活塞式和螺杆式氨压缩机。国产氨活塞式压缩机按气缸直径分为70、100、125、170四种基本系列,国产螺杆式压缩机按转子直径分为100、125、160、200、250、315六种基本系列,其技术性能规格见表6-7-70,表6-7-71,表6-7-72。

表6-7-70 氨活塞式制冷压缩机基本参数(JB955)

表6-7-71 国产开启式螺杆制冷压缩机技术参数

表6-7-72 单级螺杆式压缩机组主要技术参数

注:(1)表中所列工况:蒸发温度/冷凝温度,空调工况5℃/40℃,标准工况-15℃/40℃,低温工况-45℃/40℃;并假设吸气及排气压力没有损耗。

(2)本表由约克公司提供。

(1)压缩机选择一般原则

①制冷量应满足冷负荷要求 制冷装置的总制冷量应包括围护结构传热而引起的耗冷量、生产工艺需要的冷量以及制冷装置和系统的冷量损失。

②氨压缩机应根据各蒸发温度的机械负荷的计算分别选定。

③选用活塞式氨压缩机时,当冷凝压力与蒸发压力之比p1/p2≤8时,选用单级压缩机;p1/p2>8时,选用双级压缩机。选用螺杆式氨压缩机时,由于其有较大的压缩比及宽广的容量范围,在蒸发温度不低于-40℃,冷凝温度不高于40℃时可直接选用单级,但在低温条件下宜选用带经济器的螺杆式氨压缩机。

④选用氨压缩机的工作条件不得超过制造厂规定的允许条件。

⑤台数不宜过多:除全年连续使用以外,一般不必考虑备机。但对大、中型制冷装置,其压缩机不宜少于两台。机房内压缩机的系列不宜超过两种,条件许可下可选用压缩机、冷凝器、贮液器、蒸发器一体化的机组,以简化系统和投资。

⑥制冷剂(NH3)要求采用纯度为99.8%的工业用氨。

(2)主要参数的确定

①氨的特性和lgp-H图:在制冷系统的设计计算中经常用到制冷剂的各种物理参数如压力(p)、温度(t)、比体积(v)、焓(H)、熵(S)等,这些基本数据见表6-7-73。lgp-H图是以绝对压力p的对数值为纵坐标,焓H为横坐标,表示制冷剂在不同的lgp-H条件下,各种物理参数变化规律的图表,见图6-7-5。lgP-H图有以下8条曲线:饱和液体线、等干度线、干饱和蒸汽线、等温度线、等压力线、等焓线、等熵线和等比容线,线的左边是过冷液体区,线的右边是过热蒸汽区,在两线的之间是汽、液两相共存区。

表6-7-73 氨热力性质表

图6-7-5 lgp-H图中各种参数的曲线

①x=0 ②x=const ③t=const ④p=const ⑤H=const ⑥x=1 ⑦v=const ⑧S=const

②蒸发温度tz:蒸发温度是指制冷剂在蒸发器中汽化时的温度,一般比库房温度低10℃,比载冷剂温度低5℃,同时相对湿度要求在90%左右时,温差可在5~6℃范围内选用;相对湿度要求在80%左右时,温差可在6~7℃范围内选用;相对湿度要求在75%左右时,温差可在7~9℃范围内选用。

③冷凝温度t1:冷凝温度是指制冷剂在冷凝器中液化的温度。立式、卧式、淋激式和组合式冷凝器的冷凝温度较冷却水温度高4~6℃,蒸发式冷凝器的冷凝温度较夏季室外平均每年不保证50h的湿球温度高5~10℃。

④过冷温度tg:过冷温度是指在冷凝压力下,制冷剂温度低于冷凝温度的温度,一般比过冷器进水温度高3℃。

⑤中间冷却温度tzi:与tz、t1以及双级压缩机低压级汽缸容积之比有关,可查表或计算,一般中间冷却器蛇形管出液管温度比tzi高5~10℃。

⑥吸气温度tq:通常吸气温度比蒸发温度高1~10℃左右,见表6-7-74。

表6-7-74 氨压缩机允许的吸气温度

⑦排气温度tp:氨压缩机的排气温度是由蒸发温度和冷凝温度决定的,见表6-7-75,或用其概算公式:

单级压缩机 tp=2.4(tz+t1)

双级压缩机 低压级 tp=2.4(tz+tzi)

高压级 tp=2.4(tzi+t1)

图6—7-6 氨lgp-H图

上述蒸发温度、中间冷却温度不计正负值,均以其数值计算。

式中 tp——压缩机排气温度,℃

tz——蒸发温度,℃

tzji——中间冷却温度,℃

t1——冷凝温度,℃

(3)实际产冷量与标准产冷量的换算 活塞式压缩机运行工况相同时,产冷量与活塞行程容积成正比。对于某一台压缩机,当转数不变时,其产冷量与压缩比p1/pz成反比。为了衡量和比较压缩机的产冷量,规定一种共同的运行工况——标准工况,以压缩机在标准工况下的产冷量——标准产冷量,作为衡量和比较压缩机产冷量的标准。

表6—7—75 氨压缩机排气温度

注:本表适用于单缩压缩机和双级压缩机高压级排气温度。双级压缩机时用中间冷却温度。

氨压缩机标准工况的具体条件如下:蒸发温度:-15℃;吸气温度:-10℃;冷凝温度:30℃;过冷温度:25℃。

用于空气调节制冷系统的氨压缩机的产冷量,以空调工况作为衡量产冷量的标准,具体条件如下:蒸发温度:+5℃;吸气温度:+10℃;冷凝温度:40℃;过冷温度:35℃。

同一型号的氨压缩机,由于运行工况不同,其产冷量也不同,空调工况下的产冷量,一般为标准工况下的产冷量的2倍左右。换算公式为:

式中 Qs——氨压缩机在工作工况下的产冷量,W

Q——氨压缩机在标准工况下的产冷量,W

qrs——工作工况下单位容积产冷量,kJ/m3,见表6-7-76,表6-7-77

表6-7-76 单级压缩机氨单位容积制冷量 单位:kJ/m3

表6-7-77 双级压缩机氨单位容积制冷量 单位:kJ/m3

qr标——标准工况下单位容积产冷量,kJ/m3

λqs——工作工况下的吸气系数,见表6-7-78,表6-7-79

表6-7-78 单级氨压缩机吸气系数

表6-7-79 双级压缩机低压级吸气系数

λq标——标准工况下的吸气系数

氨压缩机的产冷量和轴功率,一般可直接从制造厂提供的压缩机性能曲线图(或表)查得并采用。

(4)单级氨压缩机的选择 先将工作工况下该系统各蒸发温度的机械负荷计算出所需要的压缩机理论排气量Vp

式中 Vp——压缩机理论排气量,m3/h

Qi——该蒸发温度系统下的制冷机械负荷,W

λ——压缩机吸气系数,见表6-7-78

q——单位容积产冷量,kJ/m3,见表6-7-76

3.6——1W换算成1kJ/h的数值

按照该理论排气量查找系列压缩机某型号与其相近的标准工况下理论排气量,或从台数上搭配。

(5)双级氨压缩机的计算

①先确定中间温度:可任意假定两个中间冷却温度,中间冷却温度取负温,不宜大于0℃,否则高压级压缩机的工作条件可能超过许可范围,在氨制冷系统中,当温度范围在+40~-40℃以内时,利用拉赛(A,Rasi)经验公式确定中间温度比较方便。

tzi=0.4t1+0.6tz+3

式中 tzi——中间温度,℃

t1——冷凝温度,℃

tz——蒸发温度,℃

②计算低压缸所需理论排气量Vdp

式中 Vdp——双级压缩机低压级的理论排气量,m3/h

Qi——该蒸发温度系统下的制冷机械负荷,W

λdp——双级压缩机的低压级的吸气系数,见表6-7-79

q——双级压缩机的低压级的单位容积产冷量,kJ/m3,见表6-7-77

3.6——瓦换算成1kJ/h的数值

③计算高压缸所需理论容积

Vgp=ζVdp

式中 Vgp——双级压缩机高压级的理论排气量,m3/h

Vdp——双级压缩机低压级的理论排气量,m3/h

ζ——高压级与低压级理论排气量之比

2.冷凝器的选择与计算

(1)冷凝器型式的选择

①立式壳管冷凝器适用于水质较差而水源丰富的地区,一般布置在机房外面。

②卧式壳管冷凝器适用于水温较低、水质较好的条件。

③淋激式冷凝器适用于空气相对温度较低、水源不足或水质特别差的条件。淋激式冷凝器应设在室外通风良好的地方。

④蒸发式冷凝器适用于空气相对温度较高和缺乏水源的地区,一般布置在室外通风良好的地方。

⑤当水源温度较高或冷凝器为一次用水时,则不采用再冷却器。

⑥当冷凝器采用水冷却塔循环用水时,冷凝器型式的选择不受上述的限制。

(2)冷凝器的负荷确定

单级压缩系统中

双级压缩系统中

式中 Q1——冷凝器负荷,W

G——压缩机氨循环量,kg/h

H2——等熵压缩后压缩机排气的焓值,kJ/kg

H3——冷凝压力下饱和氨液的焓值,kJ/kg

Gg——高压级压缩机氨循环量,kg/h

H5——等熵压缩后高压级排气的焓值,kJ/kg

H6——冷凝压力下饱和氨液的焓值,kJ/kg

——1kJ/h换算成1W的数值

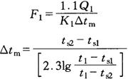
(3)冷凝面积F1

式中 Q1——冷凝器负荷,W

K1——冷凝器的传热系数,W/(m2·K)

冷凝器的传热系数K1值采用以下数值:

立式冷凝器K1=700~800,W/(m2·K)

卧式冷凝器K1=700~900,W/(m2·K)

淋激式冷凝器K1=800~1000,W/(m2·K)

△tm——对数平均温差,℃

t1——冷凝温度,℃

ts1——冷却水进水温度,℃

ts2——冷却水出水温度,℃

(4)冷却水用量Gw

或 Gw=A1qvm

式中 3.6——瓦换算成,kJ/h

Q1——冷凝器负荷的数值

c——水的比热容,c=4.1868,kJ/(kg·K)

△t——冷却水进出温差,℃

A1——冷凝器面积,m2

qvm——冷凝器单位用水量,m3/(m2·h),见表6-7-80

表6-7-80 冷凝器单位面积用水量和进出水温差

3.空气冷却器的选择与计算

(1)空气冷却器的型式 空气冷却器是一种冷却空气的设备,按空气的循环方式可分为两大类:

①空气自然循环的:如墙管、顶排管等

②空气强制循环的:主要有干式空气冷却器和湿式空气冷却器

干式空气冷却器内装有盘管,空气流经盘管管壁时被冷却,管内通行制冷剂、盐水或冷水,如光滑管空气冷却器、立式冷风机和吊顶式冷风机。

湿式空气冷却器是利用空气直接和盐水或冷水接触的方法来冷却,属于此类的空气冷却器有洗涤式和喷淋式两种。

(2)空气冷却器的面积计算

式中 A——空气冷却器的蒸发面积,m2

Q——冷却设备的计算负荷,W

△tm——库房温度与蒸发温度的对数平均温差,℃

K——空气冷却器的传热系数,W/(m2·K)

qa——空气冷却器的单位面积负荷,W/m2,见表6—7—81

表6-7-81 空气冷却器的传热系数和单位面积负荷

4.其他辅助设备选择与计算

(1)油分离器 油分离器安装在氨压缩机的排气管道上,用以分离从压缩机排出的气体所带的油份,防止冷凝器及蒸发器内油分过多而影响传热效果。

油分离器一般可按接管直径的大小来选择。如排气管管径为Φ89×4,则可选进口直径为Dg80的油分离器。下列公式计算其所需的筒身直径,按直径选择合适的油分离器。

式中 D——油分离器的直径,m

Vp——压缩机的理论吸气量,双级压缩机取高压级吸气量,m3/h

λ——压缩机吸气系数,双级压缩机取高压级吸气系数,见表6—7-77(蒸发温度取中间温度)

w——油分离器内氨气体流速,填料式油分离器0.3~0.5m/s,一般0.6~0.8m/s

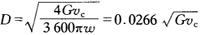
(2)中间冷却器 系安装在双级氨压缩机的低压级与高压级之间,用以冷却低压排出的过热氨汽,选用时主要确定中间冷却器的桶身直径及校验中间冷却器的蛇管冷却面积。中间冷却器的桶身直径计算:

式中 D——中间冷却器的直径,m

Gv——入压缩机高压级氨流量,kg/h

v——出中间冷却器氨气的比体积,m3/kg

w——氨气通过中间冷却器截面的平均流速,一般取0.5m/s

中间冷却器的蛇管冷却面积计算:

式中 Ff——中间冷却器的蛇管冷却面积,m2

Q——中间冷却器热负荷,W

G——入压缩机高压级氨流量,kg/h

H5——冷凝后氨饱和液体的焓值,kJ/kg

H6——出中间冷却器至氨蒸发器的氨饱和液体的焓值,kJ/kg

qf——中间冷却器单位面积的换热量,一般取1750~3500W/m2

#——1kJ/h换算成1W的数值

(3)贮液器 用以贮存液氨,调节和稳定氨蒸发器液氨需要量的变化,贮液器的容积按下式计算:

式中 V——贮液器的容积,m3

G——制冷系统每小时总氨循环量,kg

v——冷凝压力下氨液的比体积,L/kg

0.65——取制冷系统氨循环量65%为计算容积的基准

0.7——贮液器的容积充满度

(4)紧急泄氨器 紧急泄氨器的作用是在紧急情况下,从系统中把氨液泄放。泄放时,每1kg约需通入8L水稀释。通常一制冷系统设一台紧急泄氨器。

(5)氨液分离器 机房氨液分离器桶身直径的计算:

库房氨液分离器桶身直径的计算:

式中 D——氨液分离器的直径,m

w——氨液分离器内气体流速,w=0.5m/s

G——通过氨液分离器的氨液量,kg/h

Vp——氨压缩机理论气量,m3

λq——氨压缩机吸气系数,见表6-7—78

vc——蒸发压力下氨饱和蒸汽的比体积,m3/kg

氨液分离器的桶身高度:

h=(3~4)D (m)

氨液分离器出液管面积为供液管面积的2倍。

(6)排液桶 排液桶的作用是热氨冲霜时,贮存由蒸发器或冷却排管内排回来的氨液,并由此加压将氨液重新供入系统。因此,排液桶的容量应能容纳冲霜房间中最大一间的氨量。计算公式如下:

式中 Vp——排液桶的容积,m3

l——排管面积最大的冷间中,排管管子的总长度,m

V1——1米管子的容积,L/m

Φ——冷却设备的注氨量的百分数

0.7——排液桶内贮液最大允许容量

(7)低压循环桶 低压循环贮液器是氨泵系统中的主要组成部分,代替了重力系统中的氨液分离器。低压贮液器一定要既能分离氨液,又能以一定的液压维持氨泵正常运转,并能在冲霜时有适当的余地容纳冷凝氨液,故低压循环贮液器的容积不宜过小。

立式低压循环贮液器及卧式低压循环贮液器上氨液分离器的桶身直径计算:

式中 D——氨液分离器的桶身直径,m

Vp——压缩机的理论吸汽量,m3

λq——压缩机的吸汽系数,见表6—7-79

w——氨液分离器内气体速度,取0.5m/s

低压循环贮液器的容积计算:

式中 V——低压循环贮液器的容积,m3

V1——蒸发器盘管的容积,m3

V2——吸入管路的容积,m3

V3——供液管路的容积,m3

0.7——低压循环贮液器内贮液最大允许容量

(8)氨泵 氨泵的流量一般按该系统氨蒸发量的4~6倍计算。其计算公式如下:

式中 V——氨泵的流量,m3/h

Q——系统中的制冷量,W

AH——在蒸发温度下制冷剂饱和气体和饱和液体的焓值,kJ/kg

V0——在蒸发温度下制冷剂饱和液体的比容,L/kg

为简化计算,也可用耗冷量来选择,一般1kW耗冷量配氨泵流量7~8L/h。

(9)集油器 用以收集氨油分离器及其他设备内的润滑油,并在较低的压力下放油,以保证安全和减少放油时的冷冻剂的损失。

建议总制冷量约在200kW以下时采用一台JY-200型的集油器,总制冷量约在200kW以上时采用2台JY-300型的集油器,并使系统中的高中压容器与低压容器分开放油。

(10)空气分离器 用以分离不能在冷凝器中液化的不凝性气体,以改善制冷系统的运转效率,其方法是将氨气夹带的不凝性气体混合物在氨气的冷却作用下凝结并且分离,然后放出不凝性气体,凝结后的氨液通过外管路节流后用作冷源。

建议小型系统采用一台KF-32型的空气分离器,大型系统采用一台KF-50型的空气分离器。

随便看

 

离鸟网收录3541549条中英文词条,其功能与新华字典、现代汉语词典、牛津高阶英汉词典等各类中英文词典类似,基本涵盖了全部常用中英文字词句的读音、释义及用法,是语言学习和写作的有利工具。

 

Copyright © 2004-2024 vtrois.com All Rights Reserved
更新时间:2026/5/25 13:23:07