网站首页  词典首页


请输入您要查询的字词:

 

字词 劣等商品
类别 中英文字词句释义及详细解析
释义

劣等商品


其需求量在所有商品价格保持不变条件下与消费者的收入按反方向变动的商品。

这类商品的需求的收入弹性是负数。之所以出现这类现象,是由于消费者在收入提高后,改用品质较高的商品,因而对劣等商品的购买在价格不变时反而减少。但劣等商品价格下跌后,假如替代效应引起的对该商品需求的增加,超过了收入效应引起的对该商品需求的减少,其净结果仍将是需求量较前增加。

若收入效应大于替代效应,则属于吉芬商品,是劣等商品的特殊类型。上述性质的推导过程如下:劣等商品i的需求量xi在所有商品价格不变时,对消费者收入m的变化率小于零:

其需求量xi在其他条件不变时,与其自身价格pi作反方向变动,即

的商品,为一般劣等商品;作同方向变动,即

的商品为吉芬商品。这是因为斯卢茨基方程:

右端第一项为负值,第二项为正值。

如果

则其左端为负,即i为一般劣等品。如果

则其左端为正,即i为吉芬商品。

在消费者所消费的全部商品中,不能均为劣等商品,至少须有一种正常商品(货币可以看作是一种特殊的正常商品),或可以均为正常品。

这是因为在全部商品价格保持不变的条件下,当消费者收入增加(减少)时,不可能所有商品需求量都随之减少(增加)。

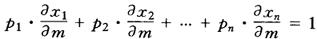
至少有一种商品需求量随之增加(减少),或所有商品的需求量随之增加(减少)。数学推导过程为:消费者消费n种商品,xi和pi分别表示商品i的需求量和价格(i=1,2,…,n),m代表消费者收入。

将消费者需求函数xi=xi(p1,p2,…,pn,m)代入其预算约束

有:

上式两端对m求偏导得:

由于价格pi>0,这样上式左端中的偏导数不能均小于零,即不能全部是劣等商品;至少有一个偏导数大于零,即至少有一种商品为正常商品;也可能全部偏导数大于零,即可能全部为正常商品。

〖参〗正常商品

吉芬商品

随便看

 

离鸟网收录3541549条中英文词条,其功能与新华字典、现代汉语词典、牛津高阶英汉词典等各类中英文词典类似,基本涵盖了全部常用中英文字词句的读音、释义及用法,是语言学习和写作的有利工具。

 

Copyright © 2004-2024 vtrois.com All Rights Reserved
更新时间:2026/5/25 8:41:28