网站首页  词典首页


请输入您要查询的字词:

 

字词 动态线性支出系统
类别 中英文字词句释义及详细解析
释义

动态线性支出系统


含有时间因素的线性支出方程组。

它是研究消费支出的一种数学模型,由于引入时间因素的方式不同,模型形式多种多样。下面是一个实用的具体模式。

设消费支出划分成m个类别,各类的价格为pit,需求量为qit(i=1,2,…,m)。

pitqit=Vit是各类消费支出额,是消费总支出。

Yt是可支配收入。

t是时间变量的序号。

如果把分类消费支出看作总支出和时间变量的函数,模型形式是

pitqitiiVtit i=1,2,…,m

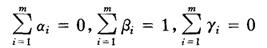
式中的αi,βi和γi是参数。在这一模型中有

如果把分类消费支出看作收入和时间的函数,模型形式是:

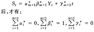
当把储蓄(St,St=Yt-Vt)也引入模型,另建一个方程

随便看

 

离鸟网收录3541549条中英文词条,其功能与新华字典、现代汉语词典、牛津高阶英汉词典等各类中英文词典类似,基本涵盖了全部常用中英文字词句的读音、释义及用法,是语言学习和写作的有利工具。

 

Copyright © 2004-2024 vtrois.com All Rights Reserved
更新时间:2026/5/25 11:57:07