网站首页  词典首页


请输入您要查询的字词:

 

字词 单位缺陷数(u)控制图
类别 中英文字词句释义及详细解析
释义

单位缺陷数(u)控制图


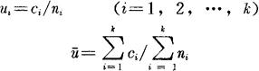
简称u-图。它是用于判断或监控生产过程的单位产品缺陷数是否处于或保持标准所要求的水平。u-图主要用于质量指标为计点(如疵点、缺陷点、某细菌个数等)的场合。其作法是:抽取k个(k≥25)样本,要使每个样本平均至少有一个缺陷点。设第i个样本容量为ni,内含缺陷数为ci,则单位缺陷数及其均值的标准计算公式是:

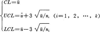
则u-图的3条线的计算公式是:

显然,对于容量不同样本,两条控制界限都不同。

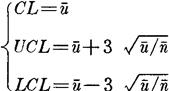
(时,可以用近似公式计算:

但,这种图在点子靠近控制界限时,要用标准计算公式重新计算控制界限,看点子是否真的不出界。

随便看

 

离鸟网收录3541549条中英文词条,其功能与新华字典、现代汉语词典、牛津高阶英汉词典等各类中英文词典类似,基本涵盖了全部常用中英文字词句的读音、释义及用法,是语言学习和写作的有利工具。

 

Copyright © 2004-2024 vtrois.com All Rights Reserved
更新时间:2026/4/8 18:12:33